
¡¾Ò©Æ·Ãû³Æ¡¿Í¨ÓÃÃû³Æ£ºÑÎËáÍÐÍé˾Çí×¢ÉäÒº
ÉÌÆ·Ãû³Æ£ºÑÒµÏ
Ó¢ÎÄÃû³Æ£ºTropisetron Hydrochloride Injection
ººÓïÆ´Òô£ºYansuan Tuowansiqiong Zhusheye
¡¾³É·Ý¡¿±¾Æ·ÖØÒª³É·ÝΪ£ºÑÎËáÍÐÍé˾Çí¡£
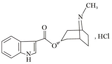
»¯Ì¨¸¦³Æ£ºßÅßá-3-¼×Ëá1¦ÁH£¬5¦ÁH-ÍÐÆ·-3¦Á-´¼õ¥ÑÎËáÑΡ£
»¯Ñ§½á¹¹Ê½£º

·Ö×Óʽ£ºC17H20N2O2¡¤HCL
·Ö×ÓÁ¿£º320.81
¸¨ÁÏΪ£º×¢ÉäÓÃË®¡£
¡¾ÐÔ×´¡¿±¾Æ·ÎªÎÞÉ«µÄ³ÎÃ÷ÒºÌå¡£
¡¾ÊÊÓ¦Ö¢¡¿Ô¤·ÀºÍÒ½Öΰ©Ö¢»¯ÁÆÒýÆðµÄ¶ñÐĺÍŻͣ»Ò½ÖÎÊÖÊõºóµÄ¶ñÐĺÍŻ͡£
¡¾¹æ¸ñ¡¿5ml£º5.64mg(Ï൱ÓÚÍÐÍé˾Çí5mg)
¡¾Ó÷¨ÓÃÁ¿¡¿1¡¢Ô¤·ÀºÍÒ½Öΰ©Ö¢»¯ÁÆÒýÆðµÄ¶ñÐĺÍŻͣºÔÚÖ°ºÎ»¯ÁÆÖÜÆÚÖУ¬±¾Æ·×î¶à¿ÉÀûÓÃ6Ìì¡£(1)³ÉÈË£ºÍƼö¼ÁÁ¿Îª5mg/Ìì¡£ÍÆ¼öµÚÒ»Ììѡȡ¾²Âöõè¾¶¸øÒ©£¬ÒÔÀ´¸ÄΪ¿Ú·þ¸øÒ©Ã¿ÌìÒ»´Î×î¶à5Ìì¡£²ÎÕÕÒÔϲ½Öè¸øÒ©£ºµÚ1Ìì¾²Âö¸øÒ©£º½«±¾Æ·5mg(1°²ê³)ÈÜÓÚ100ºÁÉý³£ÓÃÊä×¢ÒºÖÐ(ÉúÀíÑÎË®¡¢ÁÖ¸ñÊÏÒº»ò5%ÆÏÌÑÌÇÈÜÒº)ÔÚ»¯ÁÆÇ°¼±¾ç¾²ÂöµÎ×¢(15·ÖÖÓÒÔÉÏ)£»»ò»ºÂý¾²ÂöÍÆ×¢(¿ìÂÊΪ2mg/min£¬5mg/5mlµÄ°²ê³Ô¼3·ÖÖÓ×¢ÉäÍê)£»»ò»ºÂý²ÎÓëÒÑÓеľ²ÂöÊäÒºÖС£µÚ2¡«6Ìì¿Ú·þ¸øÒ©£ºÃ¿ÌìÒ»´Î¿Ú·þ¸øÒ©5mg£¬ÓÚÔ糿Æð´²Ê±(ÖÁÉÙÓÚÔç²Íǰ1Ó×ʱ)ÓÃË®ËÍ·þ¡£(2)¶ùͯ£ºÍ¨³£²»ÍƼöÓÃÓÚ¶ùͯ£¬È粡Çé±ØÒª±ØÐëʹÓÃʱ£¬¿É²ÎÕÕÈçϲ½Öè¸øÒ©£º2ËêÒÔÉ϶ùÍ¯ÍÆ¼ö¼ÁÁ¿0.1mg/Kg£¬×î¸ß¿É´ï5mg/Ìì¡£µÚ1Ìì¾²Âö¸øÒ©£º½«±¾Æ·5mgÈÜÓÚ100ml³£ÓÃÊä×¢ÒºÖÐ(ÉúÀíÑÎË®¡¢ÁÖ¸ñÊÏÒº»ò5%ÆÏÌÑÌÇÈÜÒº)ÓÚ»¯ÁÆÇ°¼±¾ç¾²ÂöµÎ×¢15·ÖÖÓÒÔÉÏ»ò»ºÂý¾²ÂöÍÆ×¢»ò»ºÂý²ÎÓëÒÑÓеľ²ÂöÊäÒºÖУ¬µÚ2~6Ìì¿É¸ÄΪ¿Ú·þ¸øÒ©£º´Ó°²ê³ÖÐÈ¡ÊÊÁ¿µÄÑÎËáÍÐÍé˾Çí×¢ÉäÒº£¬ÓýÛ×ÓÖ»ò¿ÉÀÖÏ¡Êͺó£¬ÔÚÔ糿Æð´²Ê±(ÖÁÉÙÓÚÔç²Íǰ1Ó×ʱ)Ѹ¿ì·þÏ¡£2¡¢Ò½ÖÎÊÖÊõºóµÄ¶ñÐÄŻͣº³ÉÈËÍÆ¼ö¼ÁÁ¿Îª2mg£¬ÈÜÓÚÉúÀíÑÎË®¡¢ÁÖ¸ñÊÏÒº»ò5%ÆÏÌÑÌÇÈÜÒºÄÚ¾²ÂöÊä×¢»ò»ºÂý¾²Âö×¢Éä(30ÃëÒÔÉÏ)¡£Ä¿Ç°Ã»ÓжùͯÊõºóÀûÓõľÑé¡£3¡¢Ë¾°Í¶¡/¶à¾ÛÒìàëÒÂý´úлÕßµÄÀûÓãºÖ»¹ÜÂý´úлÕß½â³ýÏà°ëË¥ÆÚ±ÈÕý³£´úлÕß³¤4-5±¶£¬µ«ÀûÓÃÍÆ¼ö¼ÁÁ¿µÄÍÐÍé˾ÇíûÓÐÒ©ÎïÒýÆð¶¾ÐÔ·´Ó³µÄ±¨Â·¡£Òò¶ø£¬ÔÚΪÆÚ6ÌìµÄÀûÓÃÖУ¬Âý´úлÕßÎÞÐè¼õµÍ¼ÁÁ¿¡£ÕâЩ»¼ÕßÖÐ×î³£¼ûÍ·Í´ºÍ±ãÃØµÄ±¨Â·(¼û²»Á¼·´Ó³)¡£4¡¢¸Î»òÉöÖ°Äܲ»È«»¼ÕßµÄÀûÓ㺸ÎÓ²»¯»òÉöÖ°Äܲ»È«»¼ÕßµÄѪ½¬Ò©ÎïŨ¶ÈÔò½ÏÕý³£´úлµÄ½¡È«×ÔÔ¸Õ߸ßÔ¼50%£¬µ«ÔÚ¼±ÐÔ¸ÎÑ×»òÖ¬·¾¸Î»¼ÕßÖУ¬ÑÎËáÍÐÍé˾ÇíµÄÒ©´ú¶¯Á¦Ñ§ÎÞŤת¡£½öÔÚ¾²ÂöÀûÓÃʱÐè¼õÁ¿50%¡£
¡¾²»Á¼·´Ó³¡¿ÁÙ´²×êÑÐÖÐ×î³£±¨Â·µÄ²»Á¼·´Ó³ÎªÀûÓÃ2mgÒýÆðµÄÍ·Í´(22%)¼°ÀûÓÃ5mgÒýÆðµÄ±ãÃØ(11%)¡£½¡È«×ÔÔ¸ÕßÖУ¬ÕâЩ²»Á¼·´Ó³ÔÚÂý´úлÕßÖбÈÕý³£´úлÕ߸üΪ³£¼û(¼û˾°Í¶¡/¶à¾ÛÒìàëÒÂý´úлÕßµÄÀûÓÃ)¡£Å¼È»Ò²ÓÐÍ·ÔΡ¢À§¾ë¡¢Î¸³¦Ö°ÄÜ´íÂÒÈ縹ʹºÍ¸¹ÐºµÄ±¨Â·(0.1-5%)¡£ÓëÆäËû5-HT3ÊÜÌåÞ׿¹¼ÁÀàËÆ£¬Ò²ÓÐÐéÍÑ¡¢ÔÎØÊºÍÐÄÌøÖÕ³¡µÄ¸ö°¸±¨Â·£»µ«ÕâЩÊÂÎñÓëÍÐÍé˾ÇíµÄʹÓÃûÓÐÈ·ÇеÄÒò¹û¹ØÏµ£¬ÕâЩ·´Ó³¿ÉÄÜ»áÓÉϸ°û¶¾ÐÔÒ©Îï»òÔÓеļ²²¡ÒýÆð¡£ÓëÆäËû5-HT3ÊÜÌåÞ׿¹¼ÁÀàËÆ£¬Ò²ÓÐÒÔÏÂÒ»ÖÖ»ò¶àÖÖIÐÍ»ûÐη´Ó³²úÉúµÄ¸ö°¸±¨Â·£ºÃ沿³±ºìºÍ/»òÈ«Éí·çÕî¡¢ÐØ²¿Ñ¹ÆÈ¸Ó×¢ºôÎüÄÑÌâ¡¢¼±ÐÔÖ§Æø¹Ü¾·Âκ͵ÍѪѹ¡£ÔÚÉÏÊкóÀûÓÃÆÚ¼ä£¬»ã±¨Á˼«¶Èº±¼ûµÄ¹ýÃô·´Ó³£ºÆ¤Õî¡¢ºì°ß¡¢¹ýÃôÐÔÐݿˡ£ÓÉÓÚ²úÉúÕâЩ»ã±¨µÄ»¼ÕßÈËÊýδÃ÷È·£¬ÇÒ¿ÉÄÜ´æÔÚ»ìºÏ³É·Ö£¬Òò¶ø²»ÄÜÕýÈ·¹ÀËãÒ©Îï²»Á¼·´Ó³²úÉúÂÊ»òÈ·¶¨ÓëÒ©ÎïµÄÒò¹û¹ØÏµ¡£
¡¾½û¼É¡¿Ôи¾½ûÓ᣶ÔÍÐÍé˾Çí¹ýÃô»òÆäËû5-HT3ÊÜÌåÞ׿¹¼Á(Èç¶÷µ¤Î÷ͪ¡¢¸ñÀ˾Çí)»òÈκÎÒ»ÖÖ¸³ÐμÁ¹ýÃôµÄ»¼Õß½ûÓá£
¡¾µ±¿àÖÔÏî¡¿1¡¢¸ßѪѹδ½ÚÔìµÄ»¼Õߣ¬ÓÃÒ©ºó¿ÉÄÜÒýÆðѪѹ½øÒ»²½Éý¸ß£¬¹Ê¸ßѪѹµÄ»¼ÕßÓ¦É÷Óã¬ÆäÓÃÁ¿²»Ò˳¬¹ý10ºÁ¿Ë/Ìì¡£2¡¢ÑÎËáÍÐÍé˾Çí³£¼ûµÄ²»Á¼·´Ó³ÊÇÍ·ÔκÍί¶Ù£¬»¼Õß·þÒ©ºóÔڼݳµ»ò°Ñ³Ö»úеÕßÓ¦É÷Óá£3¡¢¸ÎÉöÖ°ÄÜ×è°ÕßʹÓñ¾Æ·°ëË¥ÆÚµ¢¸é£¬µ«ÕâÖֱ䶯ÔÚÿÌì5mg£¬Â½ÐøÓÃÒ©6ÌìµÄÒ½ÖÎÖв»»á²úÉúÒ©ÎïÐî»ý¡£4¡¢ÓÐÐÄÂÊ»ò´«µ¼Òì³£¼²²¡µÄ»¼ÕßÒÔ¼°Í¬Ê±·þÓÿ¹ÐÄÂʱä̬ҩÎï»ò¦ÂÊÜÌå×èÖͼÁµÄ»¼ÕßÓ¦É÷Óá£
¡¾Ôи¾¼°²¸ÈéÆÚ¸¾Å®ÓÃÒ©¡¿Ôи¾¼°²¸ÈéÆÚ¸¾Å®½ûÓ᣶¯ÎïÌåÄÚµÄÉúÖ³×êÑÐÅú×¢ÍÐÍé˾ÇíÓµÓÐÅßÌ¥¶¾ÐÔ£¬Ôи¾ÖÐûÓнøÐдËÏî×êÑС£¶¯ÎïÀûÓ÷ÅÉäÏóÕ÷µÄÍÐÍé˾ÇíµÄ×êÑÐÏÔʾ£¬ÔÚÈéÖÖпɼì²âµ½·ÅÉä»îÐÔ£¬Ä¿Ç°¶ÔÍÐÍé˾ÇíÊÇ·ñ»á½øÈëµ½ÈËÀàÈéÖÖÐÉв»Ã÷ÏÔ¡£
¡¾¶ùͯÓÃÒ©¡¿Í¨³£²»ÍƼöʹÓã¬È粡Çé±ØÒª±ØÐëʹÓÃʱ£¬Æä¼ÁÁ¿°Ý¼û¡¾Ó÷¨ÓÃÁ¿¡¿¡£
¡¾ÀÏÄêÓÃÒ©¡¿ÀÏÄêÈËÀûÓÃÎÞÐèµ÷Õû¼ÁÁ¿¡£
¡¾Ò©ÎïÏ໥×÷Óá¿1¡¢ÑÎËáÍÐÍé˾ÇíÈôÓëÀû¸£Æ½»òÆäËü¸ÎøÓÕµ¼Ò©Îï(Èç±½°Í±ÈÍ×)ͬʱʹÓã¬Ôò¿Éµ¼ÖÂÑÎËáÍÐÍé˾ÇíµÄѪ½¬Å¨¶È½µµÍ£¬Òò¶ø´úлÕý³£ÕßÐèÔö³¤¼ÁÁ¿(´úл²»Á¼Õß²»ÐèÔö³¤)¡£2¡¢Ï¸°ûÉ«ËØP450øÒÖÔì¼ÁÈçÎ÷ßäÌæ¶¡¶ÔÑÎËáÍÐÍé˾ÇíµÄѪ½¬Å¨¶ÈµÄÓ°Ï죬ÔÚÕý³£Ê¹ÓõÄÇé¿öÏÂÎÞÐèµ÷Õû¼ÁÁ¿¡£3¡¢½ÓÊܾ²ÂöÀûÓø߼ÁÁ¿(80mg)ÍÐÍé˾ÇíµÄ»¼ÕßÖй۲쵽ÁÙ´²ÎÞÒâ˼µÄQTcµ¢¸é£¬Òò¶øµ±ÓëÆäËû¿ÉÄܻᵼÖÂQTcµ¢¸éµÄÒ©ÎïºÏÓÃʱӦ¼«¶È°ÑÎÈ¡£4¡¢ÉÐδ½øÐйýÍÐÍé˾ÇíÓëÕòÍ´¼ÁµÄÏ໥×÷ÓÃ×êÑС£
¡¾Ò©Îï¹ýÁ¿¡¿Ö¢×´£ºÂŴδó¼ÁÁ¿Ê¹ÓÃʱ¿Éµ¼Ö»ÃÊÓ¡£ÒÑÓиßѪѹ»¼ÕßµÄѪѹ¿ÉÉý¸ß¡£´¦Ö㺶ÔÖ¢Ò½ÖΣ¬Ó¦¶Ô»¼ÕߵijÁÒªÐÔÃüÌåÕ÷×öçÇÃܹ۲ìºÍ³ÖÐøËæ·Ã¡£
¡¾Ò©Àí¶¾Àí¡¿1¡¢Ò©Àí×÷Ó㺱¾Æ·ÊÇÒ»ÖÖ±íÖÜÉñ¾Ôª¼°ÖÐÊàÉñ¾ÏµÍ³5-ôÇÉ«°·(5-HT3)ÊÜÌåµÄǿЧ¡¢¸ßÑ¡ÔñÐԵľºÕùÞ׿¹¼Á¡£Ä³Ð©ÎïÖÊÔ̺¬Ò»Ð©»¯ÁÆÒ©¿ÉÒý·¢ÄÚÔàð¤Ä¤µÄÀàÊȸõϸëÔ¿ªÊͳö5-ôÇÉ«°·£¬´Ó¶øÓÕ·¢°é¶ñÐĵÄŻͷ´Éä¡£±¾Æ·ÖØÒªÍ¨¹ýÑ¡ÔñÐÔµÄ×è¶Ï±íÖÜÉñ¾ÔªµÄ͹ÆðǰĤ5-HT3ÊÜÌå¶øÒÖÔìŻͷ´É䣬Áí±í£¬ÆäÖ¹ÍÂ×÷ÓÃÒ²¿ÉÄÜÓëÆäͨ¹ý¶ÔÖÐÊà5-HT3ÊÜÌåµÄÖ±½Ó×è¶Ï¶øÒÖÔì×îºóÇøµÄÃÔ×ßÉñ¾µÄ´Ì¼¤×÷ÓÃÓйء£2¡¢¶¾Àí×êÑУº(1)ÒÅ´«¶¾ÐÔ£¬Îļþ±¨Â·ÑÎËáÍÐÍé˾Çí¶ÔÓ×Êó¹ÇËè΢ºËÎÞÏÔÖøÓ°Ï죬Ìå±í¸ßŨ¶ÈҲδ¼ûȾɫÌå»û±äºÍÖÂÍ»±ä×÷Óá£(2)ÉúÖ³¶¾ÐÔ£¬¶¯ÎïÉúÖ³¶¾ÐÔÊÔÑéÌáÐѱ¾Æ·ÓÐDZÔÚÅßÌ¥¶¾ÐÔ¡£Éв»Ã÷ÏÔ±¾Æ·ÊÇ·ñ¿É½øÈëÈéÖ£¬Òò¶ø²¸ÈéÆÚ¸¾Å®²»Ó¦Ê¹Óñ¾Æ·¡£
¡¾Ò©´ú¶¯Á¦Ñ§¡¿
ÎüÊÕ
Ò©Îï¼ÁÁ¿·ÖÆç¾ø¶ÔÉúÎïÀûÓöÅ×вî¾à£¬5mgÑÎËáÍÐÍé˾Çí¿Ú·þµÄ¾ø¶ÔÉúÎïÀûÓöÈԼΪ60%¡£Ò»Ñù¼ÁÁ¿µÄ´ï·å¹¦·òΪ1.71Ó×ʱ(tmax=1.71¡À0.58h)¡£5mg¿Ú·þºóCmaxΪ9.2¡À6.8ng/ml¡£
¶ùͯÌåÄÚÒ©ÎïµÄ¾ø¶ÔÉúÎïÀûÓöȼ°ÖÕÄ©Ïà°ëË¥ÆÚÓë³ÉÈ˽¡È«×ÔÔ¸ÕßµÄˮƽÀàËÆ¡£
Õý³£´úлְÄÜ(˾°Í¶¡/¶à¾ÛÒìàëÒ)µÄ»¼Õ߿ڷþ5mg£¬ÖðÈÕÒ»´ÎÂ½ÐøÒ»Öܺó£¬Ã»Óз¢ÏÖÓÐÒ©ÎïÐî»ý¾°Ïó¡£´úлְÄܽÏÂýµÄ»¼ÕßÒ©ÎïµÄѪ½¬Å¨¶ÈÊÇÕý³£ÕßµÄ2.5±¶£¬µ«²¢²»±Èͳһ»¼Õß¾²ÂöÀûÓÃ5mgµÄŨ¶È¸ß¡£»¼Õß¶ÔÕâÒ»¼ÁÁ¿Ë®Æ½Ò©ÎïµÄÄÍÊÜÐÔÓÅÁ¼¡£
É¢²¼
ÍÐÍé˾ÇíÓëѪ½¬µ°°×µÄ½áºÏÂÊΪ71%(ÖØÒªÊÇal-Ìǵ°°×)£¬ÕâÖÖ½áºÏ³¤¶ÌÌØÒìÐԵġ£³ÉÈ˵ÄÉ¢²¼ÈÝ»ýԼΪ400-600Éý£¬3-6Ëê¶ùͯԼΪ145Éý£¬7-15ËêԼΪ265Éý¡£
´úл
ÍÐÍé˾ÇíµÄ´úлÓë˾°Í¶¡/¶à¾ÛÒìàëÒÓйØ(ϸ°ûÉ«ËØP450IID6)£¬¸ß¼ÓË÷ÈËÖÖÖÐÔ¼ÓÐ8%²»×ãÕâÖÖø¡£
ÍÐÍé˾ÇíÔÚÆäßÅßá»·µÄ5£¬6»ò7λ±»ôÇ»ù»¯¶ø´úл£¬Ëæºó±»ÆÏÌÑÌÇÈ©Ëữ»òÓëÁòËá¸ù½áºÏͨ¹ýÄòÒº»òµ¨ÖÅųöÌå±í(ÄòÒº£º·à±ã=5£º1)¡£
´úлÎïÓë5-HT3ÊÜÌåµÄÇ׺ÍÁ¦ºÜµÍ£¬ÓëÒ©ÎïµÄÒ©Àí×÷Óøù»ùÎ޹ء£
·´¸´ÀûÓÃÍÐÍé˾Çí10mgÒÔÉÏ¡¢ÖðÈÕÁ½´Î»áµ¼Ö¸ÎÔàÖÐÓëÍÐÍé˾Çí´úлÓйصÄøϵ¹ÄºÍ£¬Ö»¹Ü²»»á³¬¹ýÂý´úлÕß×î¼ÑÄÍÊÜˮƽµÄÉÏÏÞ£¬µ«ÕâÈԻᵼÖ¼ÁÁ¿ÓйصÄѪ½¬Å¨¶ÈµÄÉÏÉý¡£ÖðÈÕÀûÓÃÒ»´Î5mgÍÐÍé˾ÇíÓÃÓÚÔ¤·Àϸ°û¶¾ÐÔÒ©ÎïËùÒýÆðµÄ¶ñÐÄ¡¢Å»Í£¬²»»áÒýÆðÁÙ´²ÓйصÄÐî»ý×÷Óá£
½â³ý
Õý³£´úлÕß½â³ýÏà(¦ÂÏà)°ëË¥ÆÚԼΪ8Ó×ʱ£¬¶øÂý´úлÕßԼΪ45Ó×ʱ¡£
Õý³£´úлÕßÌåÄÚÔ¼ÓÐ8%ÒÔÕæÏàÒ©Îï¾ÄòÒºÅųö£¬¶ø70%ÒÔ´úлÎïµÄ´ó¾ÖÅųö£»Áí±í15%ÏÕЩÆëÈ«ÒÔ´úлÎïµÄ´ó¾Ö´Ó·à±ãÖÐÅųö¡£
Âý´úлÕßÄòÒºÖÐÅųöµÄÒ©ÎïÕæÏàÒª¸ßÓÚÕý³£´úлÕß¡£
×ܶϸùÂÊΪ1L/min£¬ÉöÔà¶Ï¸ùÔ¼Õ¼10%£¬Âý´úлÕßµÄ×ܶϸùÂʽöΪ0.1-0.2L/min£¬µ«ÉöÔà¶Ï¸ùÂʲ»±ä¡£ÕâÖÖ·ÇÉöÔà¶Ï¸ùÂʵĽµÂäµ¼ÖÂÖÕÄ©°ëË¥ÆÚµ¢¸é4-5±¶¡£AUCµÄÖµÉý¸ß5-7±¶¡£
¡¾Öü²Ø¡¿Õڹ⣬Ãܹأ¬Á¹°µ´¦(±Ü¹â²¢²»³¬¹ý20¡æ)±£Áô¡£
¡¾°ü×°¡¿µÍÅð¹è²£Á§°²ê³£º5ml¡Á1Ö§/ºÐ£»5ml¡Á5Ö§/ºÐ¡£
¡¾ÓÐЧÆÚ¡¿18¸öÔ¡£
¡¾Ö´Ðг߶ȡ¿¡¶ÖйúÒ©µä¡·2020Äê°æ¶þ²¿
¡¾ºË×¼Îĺš¿¹úÒ©×¼×ÖH20052476
¡¾ÉÏÊÐÐí¿É³ÖÓÐÈË¡¿Ãû³Æ£ºÉ½Î÷±ØÓ®ÑÇÖÞÔìÒ©¹É·ÝÓÐÏÞ¹«Ë¾
×¢²áµØÖ·£ºÉ½Î÷Ê¡³¤ÖÎÊÐÉϵ³Çø¹âÃ÷ÄÏ·±ØÓ®ÑÇÖ޿Ƽ¼Ô°
¡¾³ö²úÆóÒµ¡¿ÆóÒµÃû³Æ£ºÉ½Î÷±ØÓ®ÑÇÖÞÔìÒ©¹É·ÝÓÐÏÞ¹«Ë¾
³ö²úµØÖ·£ºÉ½Î÷Ê¡³¤ÖÎÊÐÉϵ³Çø¹âÃ÷ÄÏ·±ØÓ®ÑÇÖ޿Ƽ¼Ô°
ÓÊÕþ±àÂ룺047100
µç»°ºÅÂ룺0355-8096088
´«ÕæºÅÂ룺0355-8096055
꿅᣼www.zdjt.com

¡¾Ò©Æ·Ãû³Æ¡¿Í¨ÓÃÃû³Æ£ºÑÎËáÍÐÍé˾Çí×¢ÉäÒº
ÉÌÆ·Ãû³Æ£ºÑÒµÏ
Ó¢ÎÄÃû³Æ£ºTropisetron Hydrochloride Injection
ººÓïÆ´Òô£ºYansuan Tuowansiqiong Zhusheye
¡¾³É·Ý¡¿±¾Æ·ÖØÒª³É·ÝΪ£ºÑÎËáÍÐÍé˾Çí¡£
»¯Ì¨¸¦³Æ£ºßÅßá-3-¼×Ëá1¦ÁH£¬5¦ÁH-ÍÐÆ·-3¦Á-´¼õ¥ÑÎËáÑΡ£
»¯Ñ§½á¹¹Ê½£º

·Ö×Óʽ£ºC17H20N2O2¡¤HCL
·Ö×ÓÁ¿£º320.81
¸¨ÁÏΪ£º×¢ÉäÓÃË®¡£
¡¾ÐÔ×´¡¿±¾Æ·ÎªÎÞÉ«µÄ³ÎÃ÷ÒºÌå¡£
¡¾ÊÊÓ¦Ö¢¡¿Ô¤·ÀºÍÒ½Öΰ©Ö¢»¯ÁÆÒýÆðµÄ¶ñÐĺÍŻͣ»Ò½ÖÎÊÖÊõºóµÄ¶ñÐĺÍŻ͡£
¡¾¹æ¸ñ¡¿5ml£º5.64mg(Ï൱ÓÚÍÐÍé˾Çí5mg)
¡¾Ó÷¨ÓÃÁ¿¡¿1¡¢Ô¤·ÀºÍÒ½Öΰ©Ö¢»¯ÁÆÒýÆðµÄ¶ñÐĺÍŻͣºÔÚÖ°ºÎ»¯ÁÆÖÜÆÚÖУ¬±¾Æ·×î¶à¿ÉÀûÓÃ6Ìì¡£(1)³ÉÈË£ºÍƼö¼ÁÁ¿Îª5mg/Ìì¡£ÍÆ¼öµÚÒ»Ììѡȡ¾²Âöõè¾¶¸øÒ©£¬ÒÔÀ´¸ÄΪ¿Ú·þ¸øÒ©Ã¿ÌìÒ»´Î×î¶à5Ìì¡£²ÎÕÕÒÔϲ½Öè¸øÒ©£ºµÚ1Ìì¾²Âö¸øÒ©£º½«±¾Æ·5mg(1°²ê³)ÈÜÓÚ100ºÁÉý³£ÓÃÊä×¢ÒºÖÐ(ÉúÀíÑÎË®¡¢ÁÖ¸ñÊÏÒº»ò5%ÆÏÌÑÌÇÈÜÒº)ÔÚ»¯ÁÆÇ°¼±¾ç¾²ÂöµÎ×¢(15·ÖÖÓÒÔÉÏ)£»»ò»ºÂý¾²ÂöÍÆ×¢(¿ìÂÊΪ2mg/min£¬5mg/5mlµÄ°²ê³Ô¼3·ÖÖÓ×¢ÉäÍê)£»»ò»ºÂý²ÎÓëÒÑÓеľ²ÂöÊäÒºÖС£µÚ2¡«6Ìì¿Ú·þ¸øÒ©£ºÃ¿ÌìÒ»´Î¿Ú·þ¸øÒ©5mg£¬ÓÚÔ糿Æð´²Ê±(ÖÁÉÙÓÚÔç²Íǰ1Ó×ʱ)ÓÃË®ËÍ·þ¡£(2)¶ùͯ£ºÍ¨³£²»ÍƼöÓÃÓÚ¶ùͯ£¬È粡Çé±ØÒª±ØÐëʹÓÃʱ£¬¿É²ÎÕÕÈçϲ½Öè¸øÒ©£º2ËêÒÔÉ϶ùÍ¯ÍÆ¼ö¼ÁÁ¿0.1mg/Kg£¬×î¸ß¿É´ï5mg/Ìì¡£µÚ1Ìì¾²Âö¸øÒ©£º½«±¾Æ·5mgÈÜÓÚ100ml³£ÓÃÊä×¢ÒºÖÐ(ÉúÀíÑÎË®¡¢ÁÖ¸ñÊÏÒº»ò5%ÆÏÌÑÌÇÈÜÒº)ÓÚ»¯ÁÆÇ°¼±¾ç¾²ÂöµÎ×¢15·ÖÖÓÒÔÉÏ»ò»ºÂý¾²ÂöÍÆ×¢»ò»ºÂý²ÎÓëÒÑÓеľ²ÂöÊäÒºÖУ¬µÚ2~6Ìì¿É¸ÄΪ¿Ú·þ¸øÒ©£º´Ó°²ê³ÖÐÈ¡ÊÊÁ¿µÄÑÎËáÍÐÍé˾Çí×¢ÉäÒº£¬ÓýÛ×ÓÖ»ò¿ÉÀÖÏ¡Êͺó£¬ÔÚÔ糿Æð´²Ê±(ÖÁÉÙÓÚÔç²Íǰ1Ó×ʱ)Ѹ¿ì·þÏ¡£2¡¢Ò½ÖÎÊÖÊõºóµÄ¶ñÐÄŻͣº³ÉÈËÍÆ¼ö¼ÁÁ¿Îª2mg£¬ÈÜÓÚÉúÀíÑÎË®¡¢ÁÖ¸ñÊÏÒº»ò5%ÆÏÌÑÌÇÈÜÒºÄÚ¾²ÂöÊä×¢»ò»ºÂý¾²Âö×¢Éä(30ÃëÒÔÉÏ)¡£Ä¿Ç°Ã»ÓжùͯÊõºóÀûÓõľÑé¡£3¡¢Ë¾°Í¶¡/¶à¾ÛÒìàëÒÂý´úлÕßµÄÀûÓãºÖ»¹ÜÂý´úлÕß½â³ýÏà°ëË¥ÆÚ±ÈÕý³£´úлÕß³¤4-5±¶£¬µ«ÀûÓÃÍÆ¼ö¼ÁÁ¿µÄÍÐÍé˾ÇíûÓÐÒ©ÎïÒýÆð¶¾ÐÔ·´Ó³µÄ±¨Â·¡£Òò¶ø£¬ÔÚΪÆÚ6ÌìµÄÀûÓÃÖУ¬Âý´úлÕßÎÞÐè¼õµÍ¼ÁÁ¿¡£ÕâЩ»¼ÕßÖÐ×î³£¼ûÍ·Í´ºÍ±ãÃØµÄ±¨Â·(¼û²»Á¼·´Ó³)¡£4¡¢¸Î»òÉöÖ°Äܲ»È«»¼ÕßµÄÀûÓ㺸ÎÓ²»¯»òÉöÖ°Äܲ»È«»¼ÕßµÄѪ½¬Ò©ÎïŨ¶ÈÔò½ÏÕý³£´úлµÄ½¡È«×ÔÔ¸Õ߸ßÔ¼50%£¬µ«ÔÚ¼±ÐÔ¸ÎÑ×»òÖ¬·¾¸Î»¼ÕßÖУ¬ÑÎËáÍÐÍé˾ÇíµÄÒ©´ú¶¯Á¦Ñ§ÎÞŤת¡£½öÔÚ¾²ÂöÀûÓÃʱÐè¼õÁ¿50%¡£
¡¾²»Á¼·´Ó³¡¿ÁÙ´²×êÑÐÖÐ×î³£±¨Â·µÄ²»Á¼·´Ó³ÎªÀûÓÃ2mgÒýÆðµÄÍ·Í´(22%)¼°ÀûÓÃ5mgÒýÆðµÄ±ãÃØ(11%)¡£½¡È«×ÔÔ¸ÕßÖУ¬ÕâЩ²»Á¼·´Ó³ÔÚÂý´úлÕßÖбÈÕý³£´úлÕ߸üΪ³£¼û(¼û˾°Í¶¡/¶à¾ÛÒìàëÒÂý´úлÕßµÄÀûÓÃ)¡£Å¼È»Ò²ÓÐÍ·ÔΡ¢À§¾ë¡¢Î¸³¦Ö°ÄÜ´íÂÒÈ縹ʹºÍ¸¹ÐºµÄ±¨Â·(0.1-5%)¡£ÓëÆäËû5-HT3ÊÜÌåÞ׿¹¼ÁÀàËÆ£¬Ò²ÓÐÐéÍÑ¡¢ÔÎØÊºÍÐÄÌøÖÕ³¡µÄ¸ö°¸±¨Â·£»µ«ÕâЩÊÂÎñÓëÍÐÍé˾ÇíµÄʹÓÃûÓÐÈ·ÇеÄÒò¹û¹ØÏµ£¬ÕâЩ·´Ó³¿ÉÄÜ»áÓÉϸ°û¶¾ÐÔÒ©Îï»òÔÓеļ²²¡ÒýÆð¡£ÓëÆäËû5-HT3ÊÜÌåÞ׿¹¼ÁÀàËÆ£¬Ò²ÓÐÒÔÏÂÒ»ÖÖ»ò¶àÖÖIÐÍ»ûÐη´Ó³²úÉúµÄ¸ö°¸±¨Â·£ºÃ沿³±ºìºÍ/»òÈ«Éí·çÕî¡¢ÐØ²¿Ñ¹ÆÈ¸Ó×¢ºôÎüÄÑÌâ¡¢¼±ÐÔÖ§Æø¹Ü¾·Âκ͵ÍѪѹ¡£ÔÚÉÏÊкóÀûÓÃÆÚ¼ä£¬»ã±¨Á˼«¶Èº±¼ûµÄ¹ýÃô·´Ó³£ºÆ¤Õî¡¢ºì°ß¡¢¹ýÃôÐÔÐݿˡ£ÓÉÓÚ²úÉúÕâЩ»ã±¨µÄ»¼ÕßÈËÊýδÃ÷È·£¬ÇÒ¿ÉÄÜ´æÔÚ»ìºÏ³É·Ö£¬Òò¶ø²»ÄÜÕýÈ·¹ÀËãÒ©Îï²»Á¼·´Ó³²úÉúÂÊ»òÈ·¶¨ÓëÒ©ÎïµÄÒò¹û¹ØÏµ¡£
¡¾½û¼É¡¿Ôи¾½ûÓ᣶ÔÍÐÍé˾Çí¹ýÃô»òÆäËû5-HT3ÊÜÌåÞ׿¹¼Á(Èç¶÷µ¤Î÷ͪ¡¢¸ñÀ˾Çí)»òÈκÎÒ»ÖÖ¸³ÐμÁ¹ýÃôµÄ»¼Õß½ûÓá£
¡¾µ±¿àÖÔÏî¡¿1¡¢¸ßѪѹδ½ÚÔìµÄ»¼Õߣ¬ÓÃÒ©ºó¿ÉÄÜÒýÆðѪѹ½øÒ»²½Éý¸ß£¬¹Ê¸ßѪѹµÄ»¼ÕßÓ¦É÷Óã¬ÆäÓÃÁ¿²»Ò˳¬¹ý10ºÁ¿Ë/Ìì¡£2¡¢ÑÎËáÍÐÍé˾Çí³£¼ûµÄ²»Á¼·´Ó³ÊÇÍ·ÔκÍί¶Ù£¬»¼Õß·þÒ©ºóÔڼݳµ»ò°Ñ³Ö»úеÕßÓ¦É÷Óá£3¡¢¸ÎÉöÖ°ÄÜ×è°ÕßʹÓñ¾Æ·°ëË¥ÆÚµ¢¸é£¬µ«ÕâÖֱ䶯ÔÚÿÌì5mg£¬Â½ÐøÓÃÒ©6ÌìµÄÒ½ÖÎÖв»»á²úÉúÒ©ÎïÐî»ý¡£4¡¢ÓÐÐÄÂÊ»ò´«µ¼Òì³£¼²²¡µÄ»¼ÕßÒÔ¼°Í¬Ê±·þÓÿ¹ÐÄÂʱä̬ҩÎï»ò¦ÂÊÜÌå×èÖͼÁµÄ»¼ÕßÓ¦É÷Óá£
¡¾Ôи¾¼°²¸ÈéÆÚ¸¾Å®ÓÃÒ©¡¿Ôи¾¼°²¸ÈéÆÚ¸¾Å®½ûÓ᣶¯ÎïÌåÄÚµÄÉúÖ³×êÑÐÅú×¢ÍÐÍé˾ÇíÓµÓÐÅßÌ¥¶¾ÐÔ£¬Ôи¾ÖÐûÓнøÐдËÏî×êÑС£¶¯ÎïÀûÓ÷ÅÉäÏóÕ÷µÄÍÐÍé˾ÇíµÄ×êÑÐÏÔʾ£¬ÔÚÈéÖÖпɼì²âµ½·ÅÉä»îÐÔ£¬Ä¿Ç°¶ÔÍÐÍé˾ÇíÊÇ·ñ»á½øÈëµ½ÈËÀàÈéÖÖÐÉв»Ã÷ÏÔ¡£
¡¾¶ùͯÓÃÒ©¡¿Í¨³£²»ÍƼöʹÓã¬È粡Çé±ØÒª±ØÐëʹÓÃʱ£¬Æä¼ÁÁ¿°Ý¼û¡¾Ó÷¨ÓÃÁ¿¡¿¡£
¡¾ÀÏÄêÓÃÒ©¡¿ÀÏÄêÈËÀûÓÃÎÞÐèµ÷Õû¼ÁÁ¿¡£
¡¾Ò©ÎïÏ໥×÷Óá¿1¡¢ÑÎËáÍÐÍé˾ÇíÈôÓëÀû¸£Æ½»òÆäËü¸ÎøÓÕµ¼Ò©Îï(Èç±½°Í±ÈÍ×)ͬʱʹÓã¬Ôò¿Éµ¼ÖÂÑÎËáÍÐÍé˾ÇíµÄѪ½¬Å¨¶È½µµÍ£¬Òò¶ø´úлÕý³£ÕßÐèÔö³¤¼ÁÁ¿(´úл²»Á¼Õß²»ÐèÔö³¤)¡£2¡¢Ï¸°ûÉ«ËØP450øÒÖÔì¼ÁÈçÎ÷ßäÌæ¶¡¶ÔÑÎËáÍÐÍé˾ÇíµÄѪ½¬Å¨¶ÈµÄÓ°Ï죬ÔÚÕý³£Ê¹ÓõÄÇé¿öÏÂÎÞÐèµ÷Õû¼ÁÁ¿¡£3¡¢½ÓÊܾ²ÂöÀûÓø߼ÁÁ¿(80mg)ÍÐÍé˾ÇíµÄ»¼ÕßÖй۲쵽ÁÙ´²ÎÞÒâ˼µÄQTcµ¢¸é£¬Òò¶øµ±ÓëÆäËû¿ÉÄܻᵼÖÂQTcµ¢¸éµÄÒ©ÎïºÏÓÃʱӦ¼«¶È°ÑÎÈ¡£4¡¢ÉÐδ½øÐйýÍÐÍé˾ÇíÓëÕòÍ´¼ÁµÄÏ໥×÷ÓÃ×êÑС£
¡¾Ò©Îï¹ýÁ¿¡¿Ö¢×´£ºÂŴδó¼ÁÁ¿Ê¹ÓÃʱ¿Éµ¼Ö»ÃÊÓ¡£ÒÑÓиßѪѹ»¼ÕßµÄѪѹ¿ÉÉý¸ß¡£´¦Ö㺶ÔÖ¢Ò½ÖΣ¬Ó¦¶Ô»¼ÕߵijÁÒªÐÔÃüÌåÕ÷×öçÇÃܹ۲ìºÍ³ÖÐøËæ·Ã¡£
¡¾Ò©Àí¶¾Àí¡¿1¡¢Ò©Àí×÷Ó㺱¾Æ·ÊÇÒ»ÖÖ±íÖÜÉñ¾Ôª¼°ÖÐÊàÉñ¾ÏµÍ³5-ôÇÉ«°·(5-HT3)ÊÜÌåµÄǿЧ¡¢¸ßÑ¡ÔñÐԵľºÕùÞ׿¹¼Á¡£Ä³Ð©ÎïÖÊÔ̺¬Ò»Ð©»¯ÁÆÒ©¿ÉÒý·¢ÄÚÔàð¤Ä¤µÄÀàÊȸõϸëÔ¿ªÊͳö5-ôÇÉ«°·£¬´Ó¶øÓÕ·¢°é¶ñÐĵÄŻͷ´Éä¡£±¾Æ·ÖØÒªÍ¨¹ýÑ¡ÔñÐÔµÄ×è¶Ï±íÖÜÉñ¾ÔªµÄ͹ÆðǰĤ5-HT3ÊÜÌå¶øÒÖÔìŻͷ´É䣬Áí±í£¬ÆäÖ¹ÍÂ×÷ÓÃÒ²¿ÉÄÜÓëÆäͨ¹ý¶ÔÖÐÊà5-HT3ÊÜÌåµÄÖ±½Ó×è¶Ï¶øÒÖÔì×îºóÇøµÄÃÔ×ßÉñ¾µÄ´Ì¼¤×÷ÓÃÓйء£2¡¢¶¾Àí×êÑУº(1)ÒÅ´«¶¾ÐÔ£¬Îļþ±¨Â·ÑÎËáÍÐÍé˾Çí¶ÔÓ×Êó¹ÇËè΢ºËÎÞÏÔÖøÓ°Ï죬Ìå±í¸ßŨ¶ÈҲδ¼ûȾɫÌå»û±äºÍÖÂÍ»±ä×÷Óá£(2)ÉúÖ³¶¾ÐÔ£¬¶¯ÎïÉúÖ³¶¾ÐÔÊÔÑéÌáÐѱ¾Æ·ÓÐDZÔÚÅßÌ¥¶¾ÐÔ¡£Éв»Ã÷ÏÔ±¾Æ·ÊÇ·ñ¿É½øÈëÈéÖ£¬Òò¶ø²¸ÈéÆÚ¸¾Å®²»Ó¦Ê¹Óñ¾Æ·¡£
¡¾Ò©´ú¶¯Á¦Ñ§¡¿
ÎüÊÕ
Ò©Îï¼ÁÁ¿·ÖÆç¾ø¶ÔÉúÎïÀûÓöÅ×вî¾à£¬5mgÑÎËáÍÐÍé˾Çí¿Ú·þµÄ¾ø¶ÔÉúÎïÀûÓöÈԼΪ60%¡£Ò»Ñù¼ÁÁ¿µÄ´ï·å¹¦·òΪ1.71Ó×ʱ(tmax=1.71¡À0.58h)¡£5mg¿Ú·þºóCmaxΪ9.2¡À6.8ng/ml¡£
¶ùͯÌåÄÚÒ©ÎïµÄ¾ø¶ÔÉúÎïÀûÓöȼ°ÖÕÄ©Ïà°ëË¥ÆÚÓë³ÉÈ˽¡È«×ÔÔ¸ÕßµÄˮƽÀàËÆ¡£
Õý³£´úлְÄÜ(˾°Í¶¡/¶à¾ÛÒìàëÒ)µÄ»¼Õ߿ڷþ5mg£¬ÖðÈÕÒ»´ÎÂ½ÐøÒ»Öܺó£¬Ã»Óз¢ÏÖÓÐÒ©ÎïÐî»ý¾°Ïó¡£´úлְÄܽÏÂýµÄ»¼ÕßÒ©ÎïµÄѪ½¬Å¨¶ÈÊÇÕý³£ÕßµÄ2.5±¶£¬µ«²¢²»±Èͳһ»¼Õß¾²ÂöÀûÓÃ5mgµÄŨ¶È¸ß¡£»¼Õß¶ÔÕâÒ»¼ÁÁ¿Ë®Æ½Ò©ÎïµÄÄÍÊÜÐÔÓÅÁ¼¡£
É¢²¼
ÍÐÍé˾ÇíÓëѪ½¬µ°°×µÄ½áºÏÂÊΪ71%(ÖØÒªÊÇal-Ìǵ°°×)£¬ÕâÖÖ½áºÏ³¤¶ÌÌØÒìÐԵġ£³ÉÈ˵ÄÉ¢²¼ÈÝ»ýԼΪ400-600Éý£¬3-6Ëê¶ùͯԼΪ145Éý£¬7-15ËêԼΪ265Éý¡£
´úл
ÍÐÍé˾ÇíµÄ´úлÓë˾°Í¶¡/¶à¾ÛÒìàëÒÓйØ(ϸ°ûÉ«ËØP450IID6)£¬¸ß¼ÓË÷ÈËÖÖÖÐÔ¼ÓÐ8%²»×ãÕâÖÖø¡£
ÍÐÍé˾ÇíÔÚÆäßÅßá»·µÄ5£¬6»ò7λ±»ôÇ»ù»¯¶ø´úл£¬Ëæºó±»ÆÏÌÑÌÇÈ©Ëữ»òÓëÁòËá¸ù½áºÏͨ¹ýÄòÒº»òµ¨ÖÅųöÌå±í(ÄòÒº£º·à±ã=5£º1)¡£
´úлÎïÓë5-HT3ÊÜÌåµÄÇ׺ÍÁ¦ºÜµÍ£¬ÓëÒ©ÎïµÄÒ©Àí×÷Óøù»ùÎ޹ء£
·´¸´ÀûÓÃÍÐÍé˾Çí10mgÒÔÉÏ¡¢ÖðÈÕÁ½´Î»áµ¼Ö¸ÎÔàÖÐÓëÍÐÍé˾Çí´úлÓйصÄøϵ¹ÄºÍ£¬Ö»¹Ü²»»á³¬¹ýÂý´úлÕß×î¼ÑÄÍÊÜˮƽµÄÉÏÏÞ£¬µ«ÕâÈԻᵼÖ¼ÁÁ¿ÓйصÄѪ½¬Å¨¶ÈµÄÉÏÉý¡£ÖðÈÕÀûÓÃÒ»´Î5mgÍÐÍé˾ÇíÓÃÓÚÔ¤·Àϸ°û¶¾ÐÔÒ©ÎïËùÒýÆðµÄ¶ñÐÄ¡¢Å»Í£¬²»»áÒýÆðÁÙ´²ÓйصÄÐî»ý×÷Óá£
½â³ý
Õý³£´úлÕß½â³ýÏà(¦ÂÏà)°ëË¥ÆÚԼΪ8Ó×ʱ£¬¶øÂý´úлÕßԼΪ45Ó×ʱ¡£
Õý³£´úлÕßÌåÄÚÔ¼ÓÐ8%ÒÔÕæÏàÒ©Îï¾ÄòÒºÅųö£¬¶ø70%ÒÔ´úлÎïµÄ´ó¾ÖÅųö£»Áí±í15%ÏÕЩÆëÈ«ÒÔ´úлÎïµÄ´ó¾Ö´Ó·à±ãÖÐÅųö¡£
Âý´úлÕßÄòÒºÖÐÅųöµÄÒ©ÎïÕæÏàÒª¸ßÓÚÕý³£´úлÕß¡£
×ܶϸùÂÊΪ1L/min£¬ÉöÔà¶Ï¸ùÔ¼Õ¼10%£¬Âý´úлÕßµÄ×ܶϸùÂʽöΪ0.1-0.2L/min£¬µ«ÉöÔà¶Ï¸ùÂʲ»±ä¡£ÕâÖÖ·ÇÉöÔà¶Ï¸ùÂʵĽµÂäµ¼ÖÂÖÕÄ©°ëË¥ÆÚµ¢¸é4-5±¶¡£AUCµÄÖµÉý¸ß5-7±¶¡£
¡¾Öü²Ø¡¿Õڹ⣬Ãܹأ¬Á¹°µ´¦(±Ü¹â²¢²»³¬¹ý20¡æ)±£Áô¡£
¡¾°ü×°¡¿µÍÅð¹è²£Á§°²ê³£º5ml¡Á1Ö§/ºÐ£»5ml¡Á5Ö§/ºÐ¡£
¡¾ÓÐЧÆÚ¡¿18¸öÔ¡£
¡¾Ö´Ðг߶ȡ¿¡¶ÖйúÒ©µä¡·2020Äê°æ¶þ²¿
¡¾ºË×¼Îĺš¿¹úÒ©×¼×ÖH20052476
¡¾ÉÏÊÐÐí¿É³ÖÓÐÈË¡¿Ãû³Æ£ºÉ½Î÷±ØÓ®ÑÇÖÞÔìÒ©¹É·ÝÓÐÏÞ¹«Ë¾
×¢²áµØÖ·£ºÉ½Î÷Ê¡³¤ÖÎÊÐÉϵ³Çø¹âÃ÷ÄÏ·±ØÓ®ÑÇÖ޿Ƽ¼Ô°
¡¾³ö²úÆóÒµ¡¿ÆóÒµÃû³Æ£ºÉ½Î÷±ØÓ®ÑÇÖÞÔìÒ©¹É·ÝÓÐÏÞ¹«Ë¾
³ö²úµØÖ·£ºÉ½Î÷Ê¡³¤ÖÎÊÐÉϵ³Çø¹âÃ÷ÄÏ·±ØÓ®ÑÇÖ޿Ƽ¼Ô°
ÓÊÕþ±àÂ룺047100
µç»°ºÅÂ룺0355-8096088
´«ÕæºÅÂ룺0355-8096055
꿅᣼www.zdjt.com
