jk.zdjt.com.png?v=1
ae2122a685fbf0360e9cf15c9622e843
ÏõËáÒìɽÀæõ¥Æ¬
¡¾³É¡¡¡¡·Ý¡¿±¾Æ·ÖØÒª³É·ÝΪ£ºÏõËáÒìɽÀæõ¥
¡¾Ö°ÄÜÖ÷ÖΡ¿¹ÚÐIJ¡µÄ³Ö¾ÃÒ½ÖΣ»ÐĽÊÍ´µÄÔ¤·À£»Ð£Éíºó³ÖÐøÐĽÊÍ´µÄÒ½ÖΣ»ÓëÑóµØ»ÆºÍ/»òÀûÄò¼Á½áºÏÀûÓã¬Ò½ÖÎÂýÐÔ³äѪÐÔÐÄÁ¦Ë¥½ß£»·Î¶¯Âö¸ßѹµÄÒ½ÖÎ  ¡£
¡¾¹æ¡¡¡¡¸ñ¡¿5mg
¡¾ºË×¼Îĺš¿¹úÒ©×¼×ÖH14020585
²úÆ·×¢Ã÷

¡¾Ò©Æ·Ãû³Æ¡¿

ͨÓÃÃû³Æ£ºÏõËáÒìɽÀæõ¥Æ¬

Ó¢ÎÄÃû³Æ£ºIsosorbide Dinitrate Tablets

ººÓïÆ´Òô£ºXiaosuan Yishanlizhi Pian

¡¾³É·Ý¡¿±¾Æ·ÖØÒª³É·ÝΪ£ºÏõËáÒìɽÀæõ¥  ¡£Æä»¯Ì¨¸¦³ÆÎª£º1,4£º3,6-¶þÍÑË®-D-ɽÀæ´¼¶þÏõËáõ¥  ¡£

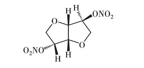
½á¹¹Ê½£º

ÏõËáÒìɽÀæõ¥Æ¬

·Ö×Óʽ£ºC6H8N2O8

·Ö×ÓÁ¿£º236.14

¡¾ÐÔ×´¡¿±¾Æ·Îª°×ɫƬ  ¡£

¡¾ÊÊÓ¦Ö¢¡¿¹ÚÐIJ¡µÄ³Ö¾ÃÒ½ÖΣ»ÐĽÊÍ´µÄÔ¤·À£»Ð£Éíºó³ÖÐøÐĽÊÍ´µÄÒ½ÖΣ»ÓëÑóµØ»ÆºÍ/»òÀûÄò¼Á½áºÏÀûÓã¬Ò½ÖÎÂýÐÔ³äѪÐÔÐÄÁ¦Ë¥½ß£»·Î¶¯Âö¸ßѹµÄÒ½ÖÎ  ¡£

¡¾¹æ¸ñ¡¿5mg  ¡£

¡¾Ó÷¨ÓÃÁ¿¡¿¿Ú·þ  ¡£Ô¤·ÀÐĽÊÍ´  ¡£Ò»´Î1-2Ƭ£¨5-10mg£©£¬Ò»ÈÕ2-3´Î£¬Ò»ÈÕ×ÜÁ¿2-6Ƭ£¨10-30mg£©  ¡£ÓÉÓÚ¸ö±ð·´Ó³·ÖÆç£¬Ðè¸ö±ð»¯µ÷Õû¼ÁÁ¿  ¡£ÉàϸøÒ©£ºÒ»´Î1Ƭ£¨5mg£©£¬»º½âÖ¢×´  ¡£

¡¾²»Á¼·´Ó³¡¿ÓÃÒ©³õÆÚ¿ÉÄÜ»á³öÏÖÏõËáõ¥ÒýÆðµÄѪ¹ÜÀ©ÕÅÐÔÍ·Í´£¬»¹¿ÉÄܳöÏÖÃæ²¿³±ºì¡¢Ñ£ÔΡ¢Ö±Á¢ÐÔµÍѪѹºÍ·´ÉäÐÔÐ͝¹ý¿ì  ¡£Å¼¼ûѪѹÏÔÖø½µµÍ¡¢Ð͝¹ý»ººÍÐĽÊÍ´¼Ó³Á£¬º±¼ûÐéÍѼ°ÔÎØÊ  ¡£

¡¾½û¼É¡¿¼±ÐÔÑ­»·Ë¥½ß£¨Ðݿˡ¢Ñ­»·ÐÔÐéÍÑ£©£»ÑϳÁµÍѪѹ£¨ÊÕËõѹ<90mmHg£©£»¼±ÐÔÐ£ËÀ°éµÍ³äӯѹ£¨³ý·ÇÔÚÓгÖÐøÑªÁ÷¶¯Á¦Ñ§¼à²âµÄǰÌáÏ£©£»·Êºñ¹£×èÐÍÐ  ¡£»ËõÕ­ÐÔÐİüÑ×»òÐİüÌîÈû£»ÑϳÁѪÐ飻Çà¹âÑÛ£»Â­ÄÚѹÔö¸ß£»Ô­·¢ÐԷζ¯Âö¸ßѹ£»¶ÔÏõ»ù»¯ºÏÎï¹ýÃôÕß  ¡£

¡¾µ±¿àÖÔÏî¡¿µÍ³äӯѹµÄ¼±ÐÔÐ£ËÀ¡¢×Ô¶¯Âö»ò¶þ¼â°êÏÁÓס¢ÌåλÐÔµÍѪѹ¡¢Â­ÄÚѹÔö¸ßÕßÉ÷Óà  ¡£²»Ó¦ºöÈ»ÖÕ³¡ÓÃÒ©£¬ÒÔÔ¤·À·´Ìø¾°Ïó  ¡£

¡¾Ôи¾¼°²¸ÈéÆÚ¸¾Å®ÓÃÒ©¡¿¶¯Îï³¢ÊÔÖÐδ¹Û²ìµ½¶ÔÅßÌ¥µÄ¶¾ÐÔЧӦ£¬µ«³ý·ÇÈ·ÓбØÒª·½¿ÉÓÃÓÚÔи¾  ¡£²»Ã÷ÏÔISDNÊÇ·ñ¾­ÈéÖ­ÅÅÃÚ£¬¹Ê²¸ÈéÆÚ¸¾Å®Ó¦É÷Óà  ¡£

¡¾¶ùͯÓÃÒ©¡¿¶ùͯÓÃÒ©µÄ°²È«ÐÔ¼°³ÉЧ¾ù²»È·¶¨  ¡£

¡¾ÀÏÄêÓÃÒ©¡¿Éв»Ã÷È·  ¡£

¡¾Ò©ÎïÏ໥×÷Óá¿ÓëÆäËûѪ¹ÜÀ©ÕżÁ¡¢¸ÆÞ׿¹¼Á¡¢¦ÂÊÜÌå×èÖͼÁ¡¢½µÑ¹Ò©¡¢Èý»·¿¹ÒÖÓôÒ©¼°¾Æ¾«ºÏÓ㬿ɼÓÇ¿±¾ÀàÒ©ÎïµÄ½µÑªÑ¹Ð§Ó¦  ¡£¿É¼ÓÇ¿¶þÇâÂó½Ç¼îµÄÉýѹ×÷Óà  ¡£Í¬Ê±Ê¹ÓÃÀà¹Ì´¼À࿹Ñ×Ò©¿É½µµÍ±¾Ò©µÄÁÆÐ§  ¡£

¡¾Ò©Îï¹ýÁ¿¡¿ÓëѪ¹Ü¹ý¶ÈÀ©ÕÅÓйصķ´Ó³ÓЭÄÚѹÔö¸ß¡¢Ñ£ÔΡ¢Ðļ¡¢ÊÓÁ¦ÍÌÍ¡¢¶ñÐÄÓëŻ͡¢ÔÎØÊºôÎüÄÑÌâ¡¢³öº¹°éƤ·ô³±ºì»òʪÀä¡¢´«µ¼×èÖÍÓëÐ͝¹ý»º¡¢Ì±»¾¡¢»èµ¹¡¢ñ²ðï²úÉú»òéæÃü£¬ÎÞÌØÒìµÄÞ׿¹¼Á¿ÉÆ¥µÐISDNµÄѪ¹ÜÀ©ÕÅ×÷Óã¬ÓÃÉöÉÏÏÙËØºÍÆäËû¶¯ÂöÊÕËõ¼Á¿ÉÄܱ״óÓÚÀû£¬´¦Öò½ÖèÔ̺¬Ì§¸ß»¼ÕßµÄÏÂÖ«ÒÔÍÆ½ø¾²Âö»ØÁ÷ÒÔ¼°¾²Âö²¹Òº  ¡£Ò²¿ÉÄܲúÉú¸ßÌúѪºìµ°°×Ѫ֢£¬Ò½Öβ½ÖèÊǾ²×¢ÑǼ×À¶1~2mg/kg  ¡£

¡¾Ò©Àí¶¾Àí¡¿1.Ò©Àíѧ£ºÏõËáÒìɽÀæõ¥£¨ISDN£©ÖØÒªÒ©Àí×÷ÓÃÊÇËɳÚѪ¹Ü»¬Èó¼¡  ¡£ISDNÔÚÌåÄÚ´úлÌìÉúµ¥ÏõËáÒìɽÀæõ¥£¨ISMN£©£¬ºóÕß¿ªÊÍÒ»Ñõ»¯µª£¨NO£©£¬NOÓëÄÚÆ¤ÊæÕÅÒò×ÓÒ»Ñù£¬¼¤»îÄñÜÕËá»·»¯Ã¸£¬Ê¹»¬Èó¼¡Ï¸°ûÄڵĻ·ÄñÜÕËᣨcGMP£©Ôö¶à£¬´Ó¶øËɳÚѪ¹Ü»¬È󼡣¬Ê¹±íÖܶ¯ÂöºÍ¾²ÂöÀ©ÕÅ£¬¶Ô¾²ÂöµÄÀ©ÕÅ×÷ÓøüÇ¿  ¡£¾²ÂöÀ©ÕÅʹѪҺäóÁôÔÚ±íÖÜ£¬»ØÐÄѪÁ¿Ï÷¼õ£¬×óÊÒÊæÕÅĩѹºÍ·ÎëϸѪ¹ÜШǶѹ£¨Ç°¸ººÉ£©¼õµÍ  ¡£¶¯ÂöÀ©ÕÅʹ±íÖÜѪ¹Ü×èÁ¦¡¢ÊÕËõÆÚ¶¯ÂöѹºÍ¾ùÔȶ¯Âöѹ£¨ºó¸ººÉ£©¼õµÍ  ¡£¹Ú×´¶¯ÂöÀ©ÕÅ£¬Ê¹¹ÚÂö×¢Á¿Ôö³¤  ¡£×ܵÄЧӦÊÇʹÐļ¡ºÄÑõÁ¿Ï÷¼õ£¬¹©ÑõÁ¿Ôö¶à£¬ÐĽÊÍ´µÃÒÔ»º½â  ¡£2.¶¾Àíѧ£º¶¯Îï³¢ÊÔδ¹Û²ìµ½Ö°©ºÍÖÂÍ»±ä¾°Ïó  ¡£

¡¾Ò©´ú¶¯Á¦Ñ§¡¿ISDN¿Ú·þÎüÊÕÆëÈ«£¬¾ùÔÈÉúÎïÀûÓöȣ¨F£©Ô¼25%£¬¿Ú·þ30%£¬ÉàÏÂ40%~60%£¬¸ÎÔàÊ×¹ýЧӦÏÔÖø  ¡£ÑªÇåŨ¶È´ï·å¹¦·òÔÚ·þÒ©ºó1Ó×ʱ£¬Ò»´ÎÓÃÒ©×÷ÓóÖÐø2~4Ó×ʱ  ¡£ÎüÊÕºóµÄÉ¢²¼ÈÝ»ýΪ2~4L/kg£¬¶Ï¸ùÂÊΪ2~4L/min£¬°ëË¥ÆÚÔ¼1Ó×ʱ  ¡£ÍÑÏõ»ùºóÌìÉú2-µ¥ÏõËáõ¥£¨15%~25%£©ºÍ5-µ¥ÏõËáõ¥£¨75%~85%£©£¬Á½Õß¾ùÓÐÉúÎï»îÐÔ  ¡£5-µ¥ÏõËáõ¥µÄ»îÐÔ¸üÇ¿£¬°ëË¥ÆÚΪ5Ó×ʱ£¬ÔÚѪÇåÖÐÍÑÏõºóÐγÉÒìɽÀæ´¼£¨Ô¼Äª37%£©ºÍÓÒÐýɽÀæ´¼£¨Ô¼Äª7%£©£¬ÓÉÄòÖÐÅųö£¬´Ë±í25%ÒÔÆÏÌÇÈ©Ëá´ó¾ÖÅųö£¬2%ÒÔÕæÏàÅųö£¬·à±ãÖÐÅųö<1%  ¡£5-µ¥ÏõËáõ¥µÄ´úл²úÆ·¾ùÎÞÀ©Ñª¹Ü×÷Óà  ¡£

¡¾Öü²Ø¡¿ÃÜ·â±£Áô  ¡£

¡¾°ü×°¡¿ËÜÁÏÆ¿£¬100Ƭ/Æ¿  ¡£

¡¾ÓÐЧÆÚ¡¿24¸öÔÂ

¡¾Ö´Ðг߶ȡ¿¡¶ÖйúÒ©µä¡·2020Äê°æ µÚÒ»²¹³ä±¾

¡¾ºË×¼Îĺš¿¹úÒ©×¼×ÖH14020585

¡¾ÉÏÊÐÐí¿É³ÖÓÐÈË¡¿

Ãû³Æ£ºÉ½Î÷±ØÓ®ÑÇÖÞ°²ÐÀÉúÎïÔìÒ©ÓÐÏÞ¹«Ë¾

×¢²áµØÖ·£ºÉ½Î÷Ê¡½úÖÐÊÐɽÎ÷ʾ·¶Çø½úÖпª·¢Çø»ãͨ²úÒµÔ°Çø»þ³Ç·908ºÅ

¡¾³ö²úÆóÒµ¡¿

ÆóÒµÃû³Æ£ºÉ½Î÷±ØÓ®ÑÇÖÞ°²ÐÀÉúÎïÔìÒ©ÓÐÏÞ¹«Ë¾

³ö²úµØÖ·£ºÉ½Î÷Ê¡½úÖÐÊлþ³Ç·908ºÅ£¨½úÖо­¼Ã¼¼Êõ¿ª·¢ÇøÃñÓª¿Æ¼¼Ô°£©

ÓÊÕþ±àÂ룺030600

µç»°ºÅÂ룺£¨0354£©2467981

´«ÕæºÅÂ룺£¨0354£©2467981

꿅᣼www.zdjt.com

ae2122a685fbf0360e9cf15c9622e843
ÏõËáÒìɽÀæõ¥Æ¬
¡¾³É¡¡¡¡·Ý¡¿±¾Æ·ÖØÒª³É·ÝΪ£ºÏõËáÒìɽÀæõ¥
¡¾Ö°ÄÜÖ÷ÖΡ¿¹ÚÐIJ¡µÄ³Ö¾ÃÒ½ÖΣ»ÐĽÊÍ´µÄÔ¤·À£»Ð£Éíºó³ÖÐøÐĽÊÍ´µÄÒ½ÖΣ»ÓëÑóµØ»ÆºÍ/»òÀûÄò¼Á½áºÏÀûÓã¬Ò½ÖÎÂýÐÔ³äѪÐÔÐÄÁ¦Ë¥½ß£»·Î¶¯Âö¸ßѹµÄÒ½ÖÎ  ¡£
¡¾¹æ¡¡¡¡¸ñ¡¿5mg
¡¾ºË×¼Îĺš¿¹úÒ©×¼×ÖH14020585
²úÆ·×¢Ã÷

¡¾Ò©Æ·Ãû³Æ¡¿

ͨÓÃÃû³Æ£ºÏõËáÒìɽÀæõ¥Æ¬

Ó¢ÎÄÃû³Æ£ºIsosorbide Dinitrate Tablets

ººÓïÆ´Òô£ºXiaosuan Yishanlizhi Pian

¡¾³É·Ý¡¿±¾Æ·ÖØÒª³É·ÝΪ£ºÏõËáÒìɽÀæõ¥  ¡£Æä»¯Ì¨¸¦³ÆÎª£º1,4£º3,6-¶þÍÑË®-D-ɽÀæ´¼¶þÏõËáõ¥  ¡£

½á¹¹Ê½£º

ÏõËáÒìɽÀæõ¥Æ¬

·Ö×Óʽ£ºC6H8N2O8

·Ö×ÓÁ¿£º236.14

¡¾ÐÔ×´¡¿±¾Æ·Îª°×ɫƬ  ¡£

¡¾ÊÊÓ¦Ö¢¡¿¹ÚÐIJ¡µÄ³Ö¾ÃÒ½ÖΣ»ÐĽÊÍ´µÄÔ¤·À£»Ð£Éíºó³ÖÐøÐĽÊÍ´µÄÒ½ÖΣ»ÓëÑóµØ»ÆºÍ/»òÀûÄò¼Á½áºÏÀûÓã¬Ò½ÖÎÂýÐÔ³äѪÐÔÐÄÁ¦Ë¥½ß£»·Î¶¯Âö¸ßѹµÄÒ½ÖÎ  ¡£

¡¾¹æ¸ñ¡¿5mg  ¡£

¡¾Ó÷¨ÓÃÁ¿¡¿¿Ú·þ  ¡£Ô¤·ÀÐĽÊÍ´  ¡£Ò»´Î1-2Ƭ£¨5-10mg£©£¬Ò»ÈÕ2-3´Î£¬Ò»ÈÕ×ÜÁ¿2-6Ƭ£¨10-30mg£©  ¡£ÓÉÓÚ¸ö±ð·´Ó³·ÖÆç£¬Ðè¸ö±ð»¯µ÷Õû¼ÁÁ¿  ¡£ÉàϸøÒ©£ºÒ»´Î1Ƭ£¨5mg£©£¬»º½âÖ¢×´  ¡£

¡¾²»Á¼·´Ó³¡¿ÓÃÒ©³õÆÚ¿ÉÄÜ»á³öÏÖÏõËáõ¥ÒýÆðµÄѪ¹ÜÀ©ÕÅÐÔÍ·Í´£¬»¹¿ÉÄܳöÏÖÃæ²¿³±ºì¡¢Ñ£ÔΡ¢Ö±Á¢ÐÔµÍѪѹºÍ·´ÉäÐÔÐ͝¹ý¿ì  ¡£Å¼¼ûѪѹÏÔÖø½µµÍ¡¢Ð͝¹ý»ººÍÐĽÊÍ´¼Ó³Á£¬º±¼ûÐéÍѼ°ÔÎØÊ  ¡£

¡¾½û¼É¡¿¼±ÐÔÑ­»·Ë¥½ß£¨Ðݿˡ¢Ñ­»·ÐÔÐéÍÑ£©£»ÑϳÁµÍѪѹ£¨ÊÕËõѹ<90mmHg£©£»¼±ÐÔÐ£ËÀ°éµÍ³äӯѹ£¨³ý·ÇÔÚÓгÖÐøÑªÁ÷¶¯Á¦Ñ§¼à²âµÄǰÌáÏ£©£»·Êºñ¹£×èÐÍÐ  ¡£»ËõÕ­ÐÔÐİüÑ×»òÐİüÌîÈû£»ÑϳÁѪÐ飻Çà¹âÑÛ£»Â­ÄÚѹÔö¸ß£»Ô­·¢ÐԷζ¯Âö¸ßѹ£»¶ÔÏõ»ù»¯ºÏÎï¹ýÃôÕß  ¡£

¡¾µ±¿àÖÔÏî¡¿µÍ³äӯѹµÄ¼±ÐÔÐ£ËÀ¡¢×Ô¶¯Âö»ò¶þ¼â°êÏÁÓס¢ÌåλÐÔµÍѪѹ¡¢Â­ÄÚѹÔö¸ßÕßÉ÷Óà  ¡£²»Ó¦ºöÈ»ÖÕ³¡ÓÃÒ©£¬ÒÔÔ¤·À·´Ìø¾°Ïó  ¡£

¡¾Ôи¾¼°²¸ÈéÆÚ¸¾Å®ÓÃÒ©¡¿¶¯Îï³¢ÊÔÖÐδ¹Û²ìµ½¶ÔÅßÌ¥µÄ¶¾ÐÔЧӦ£¬µ«³ý·ÇÈ·ÓбØÒª·½¿ÉÓÃÓÚÔи¾  ¡£²»Ã÷ÏÔISDNÊÇ·ñ¾­ÈéÖ­ÅÅÃÚ£¬¹Ê²¸ÈéÆÚ¸¾Å®Ó¦É÷Óà  ¡£

¡¾¶ùͯÓÃÒ©¡¿¶ùͯÓÃÒ©µÄ°²È«ÐÔ¼°³ÉЧ¾ù²»È·¶¨  ¡£

¡¾ÀÏÄêÓÃÒ©¡¿Éв»Ã÷È·  ¡£

¡¾Ò©ÎïÏ໥×÷Óá¿ÓëÆäËûѪ¹ÜÀ©ÕżÁ¡¢¸ÆÞ׿¹¼Á¡¢¦ÂÊÜÌå×èÖͼÁ¡¢½µÑ¹Ò©¡¢Èý»·¿¹ÒÖÓôÒ©¼°¾Æ¾«ºÏÓ㬿ɼÓÇ¿±¾ÀàÒ©ÎïµÄ½µÑªÑ¹Ð§Ó¦  ¡£¿É¼ÓÇ¿¶þÇâÂó½Ç¼îµÄÉýѹ×÷Óà  ¡£Í¬Ê±Ê¹ÓÃÀà¹Ì´¼À࿹Ñ×Ò©¿É½µµÍ±¾Ò©µÄÁÆÐ§  ¡£

¡¾Ò©Îï¹ýÁ¿¡¿ÓëѪ¹Ü¹ý¶ÈÀ©ÕÅÓйصķ´Ó³ÓЭÄÚѹÔö¸ß¡¢Ñ£ÔΡ¢Ðļ¡¢ÊÓÁ¦ÍÌÍ¡¢¶ñÐÄÓëŻ͡¢ÔÎØÊºôÎüÄÑÌâ¡¢³öº¹°éƤ·ô³±ºì»òʪÀä¡¢´«µ¼×èÖÍÓëÐ͝¹ý»º¡¢Ì±»¾¡¢»èµ¹¡¢ñ²ðï²úÉú»òéæÃü£¬ÎÞÌØÒìµÄÞ׿¹¼Á¿ÉÆ¥µÐISDNµÄѪ¹ÜÀ©ÕÅ×÷Óã¬ÓÃÉöÉÏÏÙËØºÍÆäËû¶¯ÂöÊÕËõ¼Á¿ÉÄܱ״óÓÚÀû£¬´¦Öò½ÖèÔ̺¬Ì§¸ß»¼ÕßµÄÏÂÖ«ÒÔÍÆ½ø¾²Âö»ØÁ÷ÒÔ¼°¾²Âö²¹Òº  ¡£Ò²¿ÉÄܲúÉú¸ßÌúѪºìµ°°×Ѫ֢£¬Ò½Öβ½ÖèÊǾ²×¢ÑǼ×À¶1~2mg/kg  ¡£

¡¾Ò©Àí¶¾Àí¡¿1.Ò©Àíѧ£ºÏõËáÒìɽÀæõ¥£¨ISDN£©ÖØÒªÒ©Àí×÷ÓÃÊÇËɳÚѪ¹Ü»¬Èó¼¡  ¡£ISDNÔÚÌåÄÚ´úлÌìÉúµ¥ÏõËáÒìɽÀæõ¥£¨ISMN£©£¬ºóÕß¿ªÊÍÒ»Ñõ»¯µª£¨NO£©£¬NOÓëÄÚÆ¤ÊæÕÅÒò×ÓÒ»Ñù£¬¼¤»îÄñÜÕËá»·»¯Ã¸£¬Ê¹»¬Èó¼¡Ï¸°ûÄڵĻ·ÄñÜÕËᣨcGMP£©Ôö¶à£¬´Ó¶øËɳÚѪ¹Ü»¬È󼡣¬Ê¹±íÖܶ¯ÂöºÍ¾²ÂöÀ©ÕÅ£¬¶Ô¾²ÂöµÄÀ©ÕÅ×÷ÓøüÇ¿  ¡£¾²ÂöÀ©ÕÅʹѪҺäóÁôÔÚ±íÖÜ£¬»ØÐÄѪÁ¿Ï÷¼õ£¬×óÊÒÊæÕÅĩѹºÍ·ÎëϸѪ¹ÜШǶѹ£¨Ç°¸ººÉ£©¼õµÍ  ¡£¶¯ÂöÀ©ÕÅʹ±íÖÜѪ¹Ü×èÁ¦¡¢ÊÕËõÆÚ¶¯ÂöѹºÍ¾ùÔȶ¯Âöѹ£¨ºó¸ººÉ£©¼õµÍ  ¡£¹Ú×´¶¯ÂöÀ©ÕÅ£¬Ê¹¹ÚÂö×¢Á¿Ôö³¤  ¡£×ܵÄЧӦÊÇʹÐļ¡ºÄÑõÁ¿Ï÷¼õ£¬¹©ÑõÁ¿Ôö¶à£¬ÐĽÊÍ´µÃÒÔ»º½â  ¡£2.¶¾Àíѧ£º¶¯Îï³¢ÊÔδ¹Û²ìµ½Ö°©ºÍÖÂÍ»±ä¾°Ïó  ¡£

¡¾Ò©´ú¶¯Á¦Ñ§¡¿ISDN¿Ú·þÎüÊÕÆëÈ«£¬¾ùÔÈÉúÎïÀûÓöȣ¨F£©Ô¼25%£¬¿Ú·þ30%£¬ÉàÏÂ40%~60%£¬¸ÎÔàÊ×¹ýЧӦÏÔÖø  ¡£ÑªÇåŨ¶È´ï·å¹¦·òÔÚ·þÒ©ºó1Ó×ʱ£¬Ò»´ÎÓÃÒ©×÷ÓóÖÐø2~4Ó×ʱ  ¡£ÎüÊÕºóµÄÉ¢²¼ÈÝ»ýΪ2~4L/kg£¬¶Ï¸ùÂÊΪ2~4L/min£¬°ëË¥ÆÚÔ¼1Ó×ʱ  ¡£ÍÑÏõ»ùºóÌìÉú2-µ¥ÏõËáõ¥£¨15%~25%£©ºÍ5-µ¥ÏõËáõ¥£¨75%~85%£©£¬Á½Õß¾ùÓÐÉúÎï»îÐÔ  ¡£5-µ¥ÏõËáõ¥µÄ»îÐÔ¸üÇ¿£¬°ëË¥ÆÚΪ5Ó×ʱ£¬ÔÚѪÇåÖÐÍÑÏõºóÐγÉÒìɽÀæ´¼£¨Ô¼Äª37%£©ºÍÓÒÐýɽÀæ´¼£¨Ô¼Äª7%£©£¬ÓÉÄòÖÐÅųö£¬´Ë±í25%ÒÔÆÏÌÇÈ©Ëá´ó¾ÖÅųö£¬2%ÒÔÕæÏàÅųö£¬·à±ãÖÐÅųö<1%  ¡£5-µ¥ÏõËáõ¥µÄ´úл²úÆ·¾ùÎÞÀ©Ñª¹Ü×÷Óà  ¡£

¡¾Öü²Ø¡¿ÃÜ·â±£Áô  ¡£

¡¾°ü×°¡¿ËÜÁÏÆ¿£¬100Ƭ/Æ¿  ¡£

¡¾ÓÐЧÆÚ¡¿24¸öÔÂ

¡¾Ö´Ðг߶ȡ¿¡¶ÖйúÒ©µä¡·2020Äê°æ µÚÒ»²¹³ä±¾

¡¾ºË×¼Îĺš¿¹úÒ©×¼×ÖH14020585

¡¾ÉÏÊÐÐí¿É³ÖÓÐÈË¡¿

Ãû³Æ£ºÉ½Î÷±ØÓ®ÑÇÖÞ°²ÐÀÉúÎïÔìÒ©ÓÐÏÞ¹«Ë¾

×¢²áµØÖ·£ºÉ½Î÷Ê¡½úÖÐÊÐɽÎ÷ʾ·¶Çø½úÖпª·¢Çø»ãͨ²úÒµÔ°Çø»þ³Ç·908ºÅ

¡¾³ö²úÆóÒµ¡¿

ÆóÒµÃû³Æ£ºÉ½Î÷±ØÓ®ÑÇÖÞ°²ÐÀÉúÎïÔìÒ©ÓÐÏÞ¹«Ë¾

³ö²úµØÖ·£ºÉ½Î÷Ê¡½úÖÐÊлþ³Ç·908ºÅ£¨½úÖо­¼Ã¼¼Êõ¿ª·¢ÇøÃñÓª¿Æ¼¼Ô°£©

ÓÊÕþ±àÂ룺030600

µç»°ºÅÂ룺£¨0354£©2467981

´«ÕæºÅÂ룺£¨0354£©2467981

꿅᣼www.zdjt.com