jk.zdjt.com.png?v=1
dfa4d473187d0bd600b00e5b1dc4b2ff
胞磷胆碱钠葡萄糖注射液
【成  份】本品重要成份为胆碱胞嘧啶核苷二磷酸酯的单钠盐。
【职能主治】本品重要用于急性颅脑表伤和脑手术后意识阻碍。
【规  格】50ml:胞磷胆碱钠0.25g与葡萄糖2.5g
【核准文号】国药准字H20030647
产品注明

【药品名称】

通用名称:胞磷胆碱钠葡萄糖注射液

英文名称:Citicoline Sodium and Glucose Injection

汉语拼音:Baolindanjianna Putaotang zhusheye

【成份】本品重要成份为胆碱胞嘧啶核苷二磷酸酯的单钠盐。

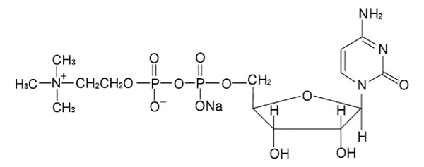
化学结构式:

胞磷胆碱钠葡萄糖注射液

分子式:C14H25N4NaO11P2

分子量:510.31

【性状】本品为无色或险些无色的澄明液体。

【适应症】本品重要用于急性颅脑表伤和脑手术后意识阻碍。

【规格】50ml:胞磷胆碱钠0.25g与葡萄糖2.5g。

【用法用量】静脉滴注:每次0.25~0.5g,逐日1次,缓慢滴注。5~10日为一疗程。本品渗入压摩尔浓度为285~310mOsmol/kg,与人体血液相当。临床医生可凭据现实必要对所用造剂进行适本地措置。

【不良反映】

全身:偶见发热、倦怠、过敏样反映,严沉者有过敏性休克的汇报。

心血管系统:偶见临时性血压降落、心动过缓和心动过快。

消化系统:偶见恶心、呕吐、食欲不振、胃痛、胃烧灼赣注腹泻和肝职能异常。

呼吸系统:有产生过敏性哮喘的汇报,严沉者可出现呼吸难题和喉水肿。

神经系统:偶见眩晕、震颤、头痛、失眠、兴奋、烦躁不安和痉挛。

皮肤五官:偶见皮疹及一过性复视。

【禁忌】对本品过敏者禁用 ;糖尿病患者禁用。

【当苦衷项】有药物过敏史的患者慎用 ;对伴有脑出血、脑水肿和颅压增高的严沉急性颅脑危险患者慎用 ;癫痫及低血压患者应慎用 ;滴注快杜爪缓慢 ;本品为含钠造剂需低钠者利用时请把稳。

【孕妇及哺乳期妇女用药】孕妇及哺乳期妇女用药的安全有效性尚未确立。孕妇及哺乳期妇女慎用。

【儿童用药】凭据病情和春秋适当调整剂量。

【老年用药】凭据病情和春秋适当调整剂量。

【药物相互作用】本品用于震颤麻木病人时,不宜与左旋多巴合用,不然可引起肌僵直恶化。与脑多肽合用,对改善脑职能有协同作用。

【药物过量】用量过大,可能有恶心、呕吐、食欲不振、头痛失眠、兴奋、痉挛等症状,可减量,并对症处置。

【药理毒理】胞磷胆碱为核苷衍生物,可加强脑干网状结构、尤其是与意识亲昵有关的上行网状结构激昂系统的机能 ;加强椎体系统的机能,改善活动麻木 ;改善大脑循环通过削减大脑血流阻力,增长大脑血流而推进大脑物质代谢,对推进大脑职能复原和推进复苏等拥有肯定作用。

【药代动力学】本品注射后血药浓度迅快降落,30分钟降至注入时的1/3,1~2幼时根基不变,散布以肝内最多,占10%。在肝脏代谢为游离胆碱和胞苷二磷酸,重要经肾脏和肺断根,原药半衰期为3.5幼时,重要代谢物胆碱的断根半衰期为2幼时。本品较难通过血脑樊篱,进入脑内的药物很少,仅占0.1%,但药物在脑内停顿功夫很长,注射后3幼时内药物浓度达峰值,并在24幼时内维持不变 ;并且危险脑比正常脑、受损半球比未受损半球的胞磷胆碱含量显著升高。

【贮藏】遮光,密关(10~30°C)保留。

【包装】玻璃输液瓶装。

【有效期】24个月

【执行尺度】《中国药典》2020年版二部

【核准文号】国药准字H20030647

【上市许可持有人】

名称:山西必赢亚洲泰盛造药有限公司

注册地址:山西省大同市经济技术开发区第一医药园区

【出产企业】

企业名称:山西必赢亚洲泰盛造药有限公司

出产地址:山西省大同市经济技术开发区第一医药园区

邮政编码:037300

电话号码:0352-7290991

传真号码:0352-7290990

dfa4d473187d0bd600b00e5b1dc4b2ff
胞磷胆碱钠葡萄糖注射液
【成  份】本品重要成份为胆碱胞嘧啶核苷二磷酸酯的单钠盐。
【职能主治】本品重要用于急性颅脑表伤和脑手术后意识阻碍。
【规  格】50ml:胞磷胆碱钠0.25g与葡萄糖2.5g
【核准文号】国药准字H20030647
产品注明

【药品名称】

通用名称:胞磷胆碱钠葡萄糖注射液

英文名称:Citicoline Sodium and Glucose Injection

汉语拼音:Baolindanjianna Putaotang zhusheye

【成份】本品重要成份为胆碱胞嘧啶核苷二磷酸酯的单钠盐。

化学结构式:

胞磷胆碱钠葡萄糖注射液

分子式:C14H25N4NaO11P2

分子量:510.31

【性状】本品为无色或险些无色的澄明液体。

【适应症】本品重要用于急性颅脑表伤和脑手术后意识阻碍。

【规格】50ml:胞磷胆碱钠0.25g与葡萄糖2.5g。

【用法用量】静脉滴注:每次0.25~0.5g,逐日1次,缓慢滴注。5~10日为一疗程。本品渗入压摩尔浓度为285~310mOsmol/kg,与人体血液相当。临床医生可凭据现实必要对所用造剂进行适本地措置。

【不良反映】

全身:偶见发热、倦怠、过敏样反映,严沉者有过敏性休克的汇报。

心血管系统:偶见临时性血压降落、心动过缓和心动过快。

消化系统:偶见恶心、呕吐、食欲不振、胃痛、胃烧灼赣注腹泻和肝职能异常。

呼吸系统:有产生过敏性哮喘的汇报,严沉者可出现呼吸难题和喉水肿。

神经系统:偶见眩晕、震颤、头痛、失眠、兴奋、烦躁不安和痉挛。

皮肤五官:偶见皮疹及一过性复视。

【禁忌】对本品过敏者禁用 ;糖尿病患者禁用。

【当苦衷项】有药物过敏史的患者慎用 ;对伴有脑出血、脑水肿和颅压增高的严沉急性颅脑危险患者慎用 ;癫痫及低血压患者应慎用 ;滴注快杜爪缓慢 ;本品为含钠造剂需低钠者利用时请把稳。

【孕妇及哺乳期妇女用药】孕妇及哺乳期妇女用药的安全有效性尚未确立。孕妇及哺乳期妇女慎用。

【儿童用药】凭据病情和春秋适当调整剂量。

【老年用药】凭据病情和春秋适当调整剂量。

【药物相互作用】本品用于震颤麻木病人时,不宜与左旋多巴合用,不然可引起肌僵直恶化。与脑多肽合用,对改善脑职能有协同作用。

【药物过量】用量过大,可能有恶心、呕吐、食欲不振、头痛失眠、兴奋、痉挛等症状,可减量,并对症处置。

【药理毒理】胞磷胆碱为核苷衍生物,可加强脑干网状结构、尤其是与意识亲昵有关的上行网状结构激昂系统的机能 ;加强椎体系统的机能,改善活动麻木 ;改善大脑循环通过削减大脑血流阻力,增长大脑血流而推进大脑物质代谢,对推进大脑职能复原和推进复苏等拥有肯定作用。

【药代动力学】本品注射后血药浓度迅快降落,30分钟降至注入时的1/3,1~2幼时根基不变,散布以肝内最多,占10%。在肝脏代谢为游离胆碱和胞苷二磷酸,重要经肾脏和肺断根,原药半衰期为3.5幼时,重要代谢物胆碱的断根半衰期为2幼时。本品较难通过血脑樊篱,进入脑内的药物很少,仅占0.1%,但药物在脑内停顿功夫很长,注射后3幼时内药物浓度达峰值,并在24幼时内维持不变 ;并且危险脑比正常脑、受损半球比未受损半球的胞磷胆碱含量显著升高。

【贮藏】遮光,密关(10~30°C)保留。

【包装】玻璃输液瓶装。

【有效期】24个月

【执行尺度】《中国药典》2020年版二部

【核准文号】国药准字H20030647

【上市许可持有人】

名称:山西必赢亚洲泰盛造药有限公司

注册地址:山西省大同市经济技术开发区第一医药园区

【出产企业】

企业名称:山西必赢亚洲泰盛造药有限公司

出产地址:山西省大同市经济技术开发区第一医药园区

邮政编码:037300

电话号码:0352-7290991

传真号码:0352-7290990