jk.zdjt.com.png?v=1
da63e5b76069354863d3d9d26f0229c5
¿¨ÍÐÆÕÀûƬ
¡¾³É¡¡¡¡·Ý¡¿±¾Æ·ÖØÒª³É·ÝΪ¿¨ÍÐÆÕÀû¡£
¡¾Ö°ÄÜÖ÷ÖΡ¿1.¸ßѪѹ£»2.ÐÄÁ¦±í½ß¡£
¡¾¹æ¡¡¡¡¸ñ¡¿25mg
¡¾ºË×¼Îĺš¿¹úÒ©×¼×ÖH14021648
²úÆ·×¢Ã÷

¡¾Ò©Æ·Ãû³Æ¡¿

ͨÓÃÃû³Æ£º¿¨ÍÐÆÕÀûƬ

Ó¢ÎÄÃû³Æ£ºCaptoprilTablets

ººÓïÆ´Òô£ºKatuopuliPian

¡¾³É·Ý¡¿±¾Æ·ÖØÒª³É·ÝΪ¿¨ÍÐÆÕÀû¡£

»¯Ì¨¸¦³Æ£º1-[(2S)-2-¼×»ù-3-Êè»ù-1-±ûõ£»ù]-l-¸¬ÇâËá

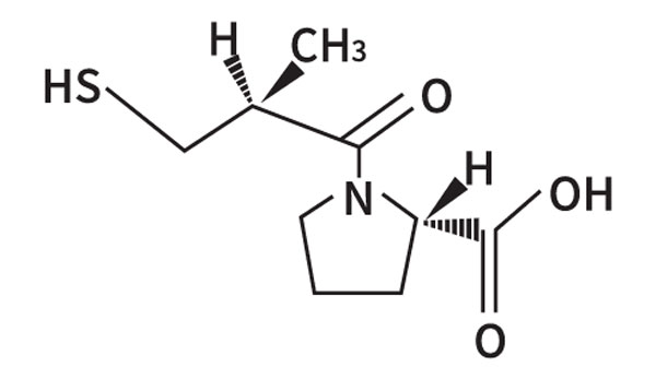
»¯Ñ§½á¹¹Ê½£º

¿¨ÍÐÆÕÀûƬ,¿¨ÍÐÆÕÀû

·Ö×Óʽ£ºC9H15NO3S

·Ö×ÓÁ¿£º217.29

¡¾ÐÔ×´¡¿±¾Æ·Îª°×É«»òÀà°×ɫƬ £¬Ò»Ãæ´øÓÐÊ®×ֿ̺Û¡£

¡¾ÊÊÓ¦Ö¢¡¿1.¸ßѪѹ£»2.ÐÄÁ¦±í½ß¡£

¡¾¹æ¸ñ¡¿25mg

¡¾Ó÷¨ÓÃÁ¿¡¿ÊÓ²¡Çé»ò¸ö±ð²î¾à¶ø¶¨¡£±¾Æ·ÒËÔÚҽʦÁìµ¼»ò¼à»¤Ï·þÓà £¬¸øÒ©¼ÁÁ¿Ðë×ñÑ­¸ö±ð»¯×¼Ôò £¬°´ÁÆÐ§¶øÓèÒÔµ÷Õû¡£

¸ßѪѹ

Ò½ÖÎÆðͷǰ £¬±ØÒªË¼¿¼½üÆÚ½µÑ¹Ò©ÎïÒ½ÖÎÇé¿ö¡¢ÑªÑ¹Éý¸ßµÄˮƽ¡¢ÏÞÑμ°ÆäËûÁÙ´²Çé¿ö¡£³õʼ¼ÁÁ¿¿Ú·þÒ»´Î12.5mg £¬ÖðÈÕ2-3´Î¡£ÈôÊÇÔÚ1ÖÜ»ò2ÖܺóÈÔδ»ñµÃÖÐÒâµÄѪѹ½µµÍ £¬ÔòÄܹ»½«¼ÁÁ¿Ôö³¤ÎªÒ»´Î50mg £¬ÖðÈÕ2-3´Î¡£µ¥¶ÀʹÓñ¾Æ·Ê± £¬Í¬Ê±´ÍÓëÏÞÄÆ´ëÊ©ÓÚ»¼ÕßÓÐÀû¡£ÓÃÓÚÒ½ÖθßѪѹµÄ¼ÁÁ¿Í¨³£²»³¬¹ý50mg £¬ÖðÈÕ3´Î¡£ÈôÊÇÒÀÕմ˼ÁÁ¿Ò½ÖÎ1ÖÁ2Öܺó £¬ÑªÑ¹Ã»Óеõ½ÖÐÒâµÄ½ÚÔ죨δºÏÓÃÀûÄò¼Á£© £¬ÔòÓ¦Ôö³¤ÖеȼÁÁ¿µÄàçàºÀàÀûÄò¼Á£¨ÀýÈç £¬ÇâÂÈàçຠ£¬ÖðÈÕ25mg£©¡£ÀûÄò¼ÁµÄ¼ÁÁ¿Äܹ»Æ¾¾ÝѪѹ½ÚÔìÇé¿ö˼¿¼Ã¿¸ô1ÖÜ»ò2ÖÜÔö³¤1´Î £¬Ö±ÖÁ´ïµ½Ö¸±êѪѹ¡£ÈôÊÇÔÚÒѾ­½ÓÊÜÀûÄò¼ÁÒ½ÖεϼÕßÖÐÆðͷʹÓñ¾Æ· £¬Ó¦ÔÚçÇÃܵÄҽѧ¼à²âÏÂÆðÍ·Ò½ÖΡ£¶ÔÓÚ³Á¶È¸ßѪѹ£¨ÀýÈç¼±½øÐ͸ßѪѹ»ò¶ñÐÔ¸ßѪѹ£©Õß £¬ÁÙʱͣÓÃĿǰ½µÑ¹Ò½Öβ»ÏÖʵ £¬»òÐèµ±¼´½«ÑªÑ¹½µÖÁÕý³£Ë®Æ½Ê± £¬ÔòÓ¦³ÖÐøÊ¹ÓÃÀûÄò¼Á £¬µ«ÐèÍ£¼ÓÆäËûÔÚÒ½ÖεĽµÑ¹Ò© £¬ÔÚçÇÃܵÄҽѧ¼à²âÏ £¬µ±¼´ÆðÍ·±¾Æ·25mgÖðÈÕ2´Î»ò3´ÎÒ½ÖΡ£ÈôÊÇ»¼ÕßÁÙ´²±ØÒª £¬Äܹ»ÔÚ¶¯Ì¬Ò½Ñ§¼à²âµÄǰÌáÏ £¬ÒÀÕÕÿ24Ó×ʱ»ò¸ü¶ÌµÄ¹¦·òÔö³¤±¾Æ·µÄÖðÈÕ¼ÁÁ¿ £¬Ö±ÖÁ»ñµÃÖÐÒâµÄѪѹ½ÚÔì»òÕßÖ±ÖÁ±¾Æ·µÄ×î¸ß¼ÁÁ¿¡£ÒÀÕÕ´ËÖֹ滮¸øÒ©Ê± £¬¿ÉÄÜ»¹±ØÒªÊ¹ÓøüÇ¿µÄÀûÄò¼Á £¬Èçß»ÈûÃס£

ÐÄÁ¦Ë¥½ß

±¾Æ·±ØÐëÔÚçÇÃܵÄҽѧ¼à²âÏÂÆðÍ·Ò½ÖΡ£

Ò½ÖÎÆðͷǰ £¬Èô´ËÇ°Ôø³ä·Ö½ÓÊÜÀûÄò¼ÁÒ½ÖÎ £¬¿ÉÄÜ´æÔÚµÍÄÆºÍ/»òµÍѪÈÝÁ¿ £¬¶øÑªÑ¹Õý³£»òÆ«µÍµÄ»¼Õß £¬³õʼ¼ÁÁ¿ÒËÓÃ6.25mgÖðÈÕ3´Î £¬¿É×î´óˮƽµØ½µµÍµÍѪѹ·´Ó³µÄˮƽºÍ³ÖÐø¹¦·ò £¬ÒÔÀ´Ç×êǼà²â £¬²¢Öð²½Ôö³¤ÖÁ³£ÓÃÁ¿¡£

´óÎÞÊý»¼Õߵijõʼ¼ÁÁ¿ÎªÒ»´Î12.5mgÖðÈÕ2-3´Î £¬Ó¦Æ¾¾Ý»¼Õߵķ´Ó³¡¢ÁÙ´²×´Ì¬ºÍÄÍÊÜÐÔµ÷Õûά³Ö¼ÁÁ¿ £¬±ØÒªÊ±Öð²½ÔöÖÁ50mg £¬ÖðÈÕ2-3´Î¡£¼ÁÁ¿ÔöÓ¦ÖÁÉÙÎʸô2ÖÜÀ´ÆÀ¹À»¼Õߵķ´Ó³¡£×î¸ß¿ÉÖÁ150mg/Ìì £¬·Ö2-3´Î·þÓá£

¡¾²»Á¼·´Ó³¡¿

1.ÁÙ´²ÊÔÑé

¿¨ÍÐÆÕÀûµÄÁÙ´²ÊÔÑéÖл㱨µÄ²»Á¼ÊÂÎñÈçÏ£¨»¼ÕßÈËÊýԼΪ7000Àý£©£º

£¨1£©Æ¤·ô£ºÆ¤Õî £¬Í¨³£°éÓÐðþÑ÷ £¬ÓÐʱ°é·¢ÈÈ¡¢¹Ø½ÚÍ´ºÍÊÈËáÐÔϸ°ûÔö¶à £¬²úÉúÂÊ4%-7% £¬È¡¾öÓÚ»¼ÕßÉöÔà״̬ºÍÒ©Îï¼ÁÁ¿ £¬Í¨³£²úÉúÓÚÒ½ÖÎÆðÍ·ºó4ÖÜÄÚ £¬³£Îª°ßÇðÕî £¬ÉÙ¼ûÝ¡ÂéÕî £¬Í¨³£Ö¢×´Çá΢ £¬¼õÁ¿¡¢Í£Ò©»ò¸ø¿¹×é°·Ò©ºóÒþû¡£Ô¼2%µÄ»¼Õß»á²úÉú²»°éƤÕîµÄðþÑ÷¡£7%-10%µÄƤÕÕß°éÊÈËáÐÔϸ°ûÔö¶à»ò¿¹ºË¿¹Ì壨ANA£©ÑôÐÔ¡£Ò²Óб¨Â·¹ý¿ÉÄæÐÔµÄÒ©ÎïÓйØÐÔÀàÌìðå´¯Ñù²¡±äºÍ¹âÃô¸Ð¡£¡Ý0.5%µÄ»¼Õß²úÉúÃæ²¿³±ºì»ò²Ò°×¡£

£¨2£©ÐÄѪ¹Ü£ºÔ¼1%µÄ»¼Õß²úÉúµÍѪѹ £¬Ð͝¹ý¿ì £¬ÐØÍ´ºÍÐļ¡£ÐĽÊÍ´ £¬Ð£ËÀ¡¢À×ŵ×ÛºÏÕ÷ºÍ³äѪÐÔÐÄÁ¦Ë¥½ß¸÷²úÉúÓÚ¡Ü0.3%µÄ»¼Õß¡£

£¨3£©Î¸³¦Â·£ºÔ¼2%-4%µÄ»¼Õߣ¨¾ßÌåÈ¡¾öÓÚÉöÔà״̬ºÍ¼ÁÁ¿£©²úÉúζ¾õ×è°­»òζ¾õ³Õ¶Û¡£

£¨4£©ÑªÒºÑ§£ºÑªÐé £¬ÑªÓ×°åÏ÷¼õ £¬È«ÑªÏ¸°ûÏ÷¼õ £¬ÖÐÐÔÁ£Ï¸°ûÏ÷¼õ/Á£Ï¸°û²»×ãÖ¢¡£

£¨5£©ÃâÒßѧ£ºÔ¼0.1%»¼Õß²úÉúѪ¹ÜÐÔË®Ö×£ºÔ̺¬Ã沿¡¢Êֽš¢¿Ú´½¡¢ð¤Ä¤¡¢Éà¡¢ÉùÃÅ»òÑʺíµÄѪ¹ÜÐÔË®Ö× £¬½¨Ò黼Õßµ±¼´»ã±¨Ò½Éú¡£ÀÛ¼°ÉϺôÎü·µÄѪ¹ÜÐÔË®Ö׿ÉÒýÆðÖÂÃüÐÔµÄÆøÂ·×èÈû¡£

£¨6£©ºôÎü·£º0.5%-2%µÄ»¼Õß²úÉúÁË¿ÈËÔ¡£

£¨7£©ÉöÔࣺÉöÖ°ÄÜÇÖº¦¡¢ÉöÖ°ÄÜË¥½ß¡¢Éö²¡×ÛºÏÕ÷¡¢¶àÄò¡¢ÉÙÄòºÍÄòƵºÜÉÙ¼û£¨¡Ü0.2%£© £¬ÓëÓÃÒ©µÄ¹ØÏµ²»Ã÷È·¡£µ°°×Äò¡£

£¨8£©Ô¼0.5%-2%µÄ»¼Õß²úÉúÁËÒÔÏÂÊÂÎñ £¬µ«Óë¶ÔÕÕÊÔÑéÖÐʹÓõÄο½å¼Á»òÆäËûÒ½ÖÎÏà±È £¬²úÉúÂÊδ¼ûÉý¸ß£ºÎ¸²¿´Ì¼¤·´Ó³£»¸¹Í´£»¶ñÐÄ£»Å»Í£»¸¹Ðº£»Ê³Óû²»Õñ£»±ãÃØ£»¿ÚÇ»À£Ññ£»Í·ÔÎ £¬Í·Í´ £¬Î®ÃÒ²»Õñ£»À§¾ë£»Ê§Ãߣ»¿Ú¸É£»ºôÎüÄÑÌâ £¬ÍÑ·¢£»¸Ð´¥Òì³£¡£

2.ÉÏÊкó¾­Ñé

ÏÂÃæÒÀÕÕÉí¶ÎϵÍÂäгöÁË¿¨ÍÐÆÕÀûƬÉÏÊкó»ã±¨µÄÁÙ´²²»Á¼ÊÂÎñ¡£ÔÚÕâÖÖ»·¾³Ï £¬²»ÄÜÕýÈ·ÅжϲúÉúÂÊ»òÒò¹û¹ØÏµ£º

£¨1£©Í¨³£Çé¿ö£º·¦Á¦£»ÄÐÐÔÈé·¿·¢Óý¡£

£¨2£©ÐÄѪ¹Ü£ºÐÄÌøÖèÍ££»ÄÔѪ¹ÜÒâ±í³É¹¦Äܲ»È«£»ÐÄÂÊ¿ì¶ø²»Æë£»ÌåλÐÔµÍѪѹ£»ÔÎØÊ £¬ÓɵÍѪѹÒýÆð £¬ÓÈÆäÔÚÈ±ÄÆ»òѪÈÝÁ¿²»ÊµÊ±¡£

£¨3£©Æ¤·ô£º´óðåÐÔÌìðå´¯ £¬¶àÐÎÐÔºì°ß£¨Ô̺¬Stevens-Johnson×ÛºÏÕ÷£©°þÍÑÐÔÆ¤Ñס£

£¨4£©Î¸³¦Â·£ºÒÈÏÙÑ× £¬ÉàÑ× £¬Ïû»¯²»Á¼¡£

£¨5£©ÑªÒºÑ§£ºÑªÐé £¬Ô̺¬ÔÙÉú×è°­ÐÔѪÐéºÍÈÜѪÐÔѪÐ飻°×ϸ°ûÓëÁ£Ï¸°ûÏ÷¼õ £¬Óз¢ÈÈ¡¢º®àä¡£

£¨6£©¸Îµ¨£º»Æðã £¬¸ÎÑ× £¬Ô̺¬¸ÎÔà»·ËÀµÄº±¼û²¡Àý £¬µ¨Ö­ÓÙ»ý¡£

£¨7´úл£ºÖ¢×´ÐÔµÍÄÆÑªÖ¢¡£

£¨8£©¼¡Èâ¹Ç·£º¼¡Í´ £¬¼¡ÎÞÁ¦¡£

£¨9£©Éñ¾­/ÐÄÁ飺¹²¼Ãʧµ÷ £¬ÒâʶÍÌÍ £¬ÒÖÓô £¬ÑÏÖØ £¬ÊÈ˯¡£

£¨10£©ºôÎü·£ºÖ§Æø¹Ü¾·ÂÎ £¬ÊÈËáÐÔÁ£Ï¸°ûÔö¶àÐÔ·ÎÑ× £¬±ÇÑס£

£¨11£©ÌØÊâ¸Ðµ³£ºÊÓÁ¦ÍÌÍ¡£

£¨12£©ÃÚÄòÉúֳϵ£ºÑôðô¡£

£¨13£©ÓëʹÓÃÆäËûѪ¹ÜÑÏÖØËØ×ª»»Ã¸£¨ACE£©ÒÖÔì¼ÁʱһÑù £¬Ôø»ã±¨²úÉúÒ»ÖÖÓµÓÐÏÂÁвû·¢µÄ×ÛºÏÕ÷£º·¢ÈÈ¡¢¼¡Í´¡¢¹Ø½ÚÍ´¡¢¼äÖÊÐÔÉöÑס¢Ñª¹ÜÑס¢Æ¤Õî»òÆäËûƤ·ô²¡²û·¢¡¢ÊÈËáÐÔÁ£Ï¸°ûÔö¶àºÍѪ³Á£¨ESR£©¿ªÉý¸ß¡£

£¨14£©Ì¥¶ù/ÐÂÉú¶ù·¢²¡ÂʺÍéæÃüÂÊ£º»³Ì¥ÆÚÎÊʹÓÃACEÒÖÔì¼ÁÔøÒýÆðÌ¥¶ùºÍÐÂÉú¶ùÇÖº¦ £¬Ô̺¬µÍѪѹ¡¢ÐÂÉú¶ù­¹Ç·¢Óý²»È«¡¢ÎÞÄò¡¢¿ÉÄæÐÔ»ò²»³ÉÄæÐÔÉöÖ°ÄÜË¥½ßºÍéæÃü¡£Ò²Ôø»ã±¨¹ýÑòË®¹ýÉÙ £¬¾Ý´§Ä¦ £¬ÊÇÌ¥¶ùÉöÖ°ÄܽµÂäËùÖ£»ÕâÖÖÇé¿öϵÄÑòË®¹ýÉÙÓëÌ¥¶ùÖ«ÌåÂÎËõ¡¢Â­Ã沿»ûÐμ°·Î·¢Óý²»È«ÓйØ¡£Ò²Ôø»ã±¨¹ýÔç²ú¡¢¹¬Äڳɳ¤»ºÂýºÍ¶¯Âöµ¼¹Üδ¹Ø¡£×î½üµÄÎļþ»ã±¨ £¬µ±Ò©Îï¶³ö½öÏÞÓÚÔçÔÐÆÚ¼ä £¬Ôø²úÉú¹ýÔç²ú¶¯¡¢Âöµ¼¹ÜÖì¹Ø¼°Æä¶þÐÄÔà½á¹¹»ûÐÎ £¬ÒÔ¼°Éñ¾­ÏµÍ³»ûÐΡ£

3.³¢ÊÔÊҲ鳭

£¨1£©ÑªÇåµç½âÖÊ£º¸ß¼ØÑªÖ¢ £¬¿ÉÄÜ»á²úÉúѪ¼ØÇá¶ÈÉý¸ß £¬ÓÈÆäÊǰéÉöÖ°ÄÜÇÖº¦µÄ»¼Õß¡£

£¨2£©µÍÄÆÑªÖ¢£º³ö¸ñÊǽÓÊܵÍÄÆ´¶Ê»òÕ߹鲢ʹÓÃÀûÄò¼ÁµÄ»¼Õß¡£

£¨3£©ÄòËØµª£¨BUN£©/ѪÇ弡ôû£ºBUN»òѪÇ弡ôûŨ¶ÈÒ»¹ýÐÔÉý¸ß £¬³ö¸ñÊÇÈÝÁ¿»òÑκĽߵϼÕß £¬»ò°éÉöѪ¹ÜÐÔ¸ßѪѹµÄ»¼Õß¡£³£ÎªÁÙʱÐÔ £¬ÔÚÓÐÉö²¡»ò³Ö¾ÃÑϳÁ¸ßѪѹµÄ»¼ÕßÔÚѪѹѸ¿ìÏÂÕóºóÒ׳öÏÖ¡£³Ö¾Ã»òÏÔÖøÉý¸ßµÄѪѹѸ¿ì½µÂä»áµ¼ÖÂÉöÓ×ÇòÂ˹ýÂʽµµÍ £¬¼Ì¶øµ¼°ÜBUN»òѪÇ弡ôûˮƽÉý¸ß¡£

£¨4£©ÑªÒºÑ§£ºÓÐANAÑôÐÔ±¨Â·¡£

£¨5£©¸ÎÖ°Äܲ鳭£ºÑªÇå¸ÎÔàת°±Ã¸¡¢¼îÐÔÁ×ËáøºÍѪÇ嵨ºìËØÉý¸ß¡£

¡¾½û¼É¡¿

1.¶Ô¿¨ÍÐÌæÀû»òÈκÎÒ»ÖÖ¸¨ÁÏ £¬»òÆäËûACEÒÖÔì¼Á¹ýÃôÕß½ûÓñ¾Æ·£¨Àý£ºÔÚÆäËûÈκÎÒ»ÖÖACEÒÖÔì¼ÁÒ½ÖÎÆÚÎÊÔø²úÉúѪ¹ÜÐÔË®Ö׵ϼÕߣ©¡£

2.»³Ì¥ÖÐÍíÆÚ½ûÓñ¾Æ·¡£Ò»µ©·¢ÏÖ»³ÔÐ £¬¸Ãµ±¼´Í£Óñ¾Æ·¡£

3.ÔÚÌÇÄò²¡»òÉöÖ°ÄÜÇÖº¦£¨GFR<60mL/min/1.73©O£©µÄ»¼ÕßÖÐ £¬²»ÈÝACEÒÖÔì¼ÁÓ뺬Óа¢Àû¼ªÂصÄÒ©ÎïºÏÓá£

¡¾µ±¿àÖÔÏî¡¿

θÖÐʳƷ¿Éʹ±¾Æ·ÎüÊÕÏ÷¼õ30-40% £¬¹ÊÒËÔÚ²Íǰ1Ó×ʱ·þÒ©¡£

1.Àà¹ýÃô·´Ó³ºÍ¿ÉÄÜÓйط´Ó³

¿ÉÄÜÓÉÓÚACEÒÖÔì¼ÁÓ°ÏìÀ໨ÉúËá¼°¶àëÄ£¨Ô̺¬ÄÚÔ´ÐԵĻº¼¤ëÄ£©µÄ´úл £¬ËùÒÔ½ÓÊÜACEÒÖÔì¼Ã£¨Ô̺¬¿¨ÍÐÆÕÀû£©µÄÓÞÕß¿ÉÄÜ»á²úÉú¸÷À಻Á¼·´Ó³ £¬ÆäÖÐÔ̺¬Ò»Ð©ÑϳÁ²»Á¼·´Ó³¡£

£¨1£©Í·Ã沿Ѫ¹ÜÐÔË®Ö×£ºÔøÓнÓÊÜACEÒÖÔì¼Á£¨Ô̺¬¿¨ÍÐÆÕÀû£©Ò½ÖεϼÕß²úÉúѪ¹ÜÐÔË®Ö׵ġ£²úÉúË®Ö׵IJ¿Î»Ô̺¬Êֽš¢Ã沿 £¬¿Ú´½¡¢Õ³Ä¤¡¢Éà¡¢ÉùÃźÍÑʺí¡£ÈôÊÇѪ¹ÜÐÔË®Ö×ÀÛ¼°Éà¡¢ÉùÃźÍÑʺí £¬Ôò¿ÉÄÜ»á²úÉúÖÂÃüµÄÆøÂ·×èÈû¡£Òò¶øÓ¦Ó¦¸Ã¼´´ÍÓ봹ΣҽÖÎ £¬Ò½Öβ½ÖèÔ̺¬µ«²»¾ÖÏÞÓÚÍ£Óñ¾Æ· £¬Ñ¸¿ìƤÏÂ×¢Éä1£º1000ÉöÉÏÏÙËØ0.3-05ml¡£ÀÛ¼°Ã沿¡¢¿ÚǻճĤ¡¢¿Ú´½ºÍÊֽŵÄË®Ö×ͨ³£ÔÚÍ£Óÿ¨ÍÐÆÕÀûºó¼´¿ÉÒþû£»½öÉÙÊý²¡Àý±ØÒª½ÓÊÜҽѧҽÖΡ£

£¨2£©³¦ÄÚѪ¹ÜÐÔË®Ö×£ºº±¼ûÇé¿öÏ £¬½ÓÊÜACEÒÖÔì¼ÁÒ½ÖεϼÕß»á²úÉú³¦ÄÚѪ¹ÜÐÔË®Ö× £¬ÕâЩ»¼ÕߵIJû·¢Îª¸¹Í´£¨ÓлòÎÞ¶ñÐÄ»òŻͣ©£»ÔÚijЩÇé¿öÏ £¬¼ÈÍùÎÞÃæ²¿Ñª¹ÜÐÔË®Ö׵IJ¡Ê· £¬C-1õ¥Ã¸Ë®Æ½Õý³£ £¬Æ¾¾Ý¸¹²¿CTɨÃè»òB³¬Õï¶Ï £¬»òÊÖÊõÕï¶Ï £¬Í£ÓÃACEÒÖÔì¼ÁºóÖ¢×´Òþû¡£½ÓÊÜACEÒÖÔì¼ÁÒ½ÖεϼÕß³öÏÖ¸¹²¿ÌÛÍ´ £¬Õç±ðÕï¶ÏÖÐÓ¦Ô̺¬³¦ÄÚѪ¹ÜÐÔË®Öס£

£¨3£©ÍÑÃôÆÚͬµÄÀà¹ýÃô·´Ó³£º2Àýͬʱ½ÓÊÜÁíÒ»ÖÖACEÒÖÔì¼Á£¨ÒÀÄÇÆÕÀû£©µÄ»¼ÕßÔÚ´ÍÓëĤ³áÄ¿¶¾ÒºÍÑÃôÒ½ÖÎʱ £¬²úÉúÁËÀÛ¼°ÐÔÃüµÄÀà¹ýÃô·´Ó³¡£ÕâЩ·´Ó³ÔÚÔÝÍ£´ÍÓëACEÒÖÔì¼ÁºóÒþû £¬µ«ÔÚÎÞÒâÖ®ÖÐÔÙÒý·¢Ê±ÔٴγöÏÖ¡£Òò¶ø £¬ÔÚ½ÓÊÜACEÒÖÔì¼ÁÒ½ÖεϼÕßÖÐ £¬½øÐÐÕâЩÍÑÃô²Ù×÷Ӧά³ÖÉóÉ÷¡£

£¨4£©¸ßͨÁ¿Í¸Îö/Ö¬µ°°×Îü¸½Í¸ÎöĤ¶³öÆÚ¼äµÄÀà¹ýÃô·´Ó³£ºÔÚ½ÓÊܸßͨÁ¿Í¸ÎöĤ½øÐÐѪҺ͸ÎöÇҹ鲢ʹÓÃACEÒÖÔìµÄ»¼ÕßÖÐ £¬Ôø²úÉúÀà¹ýÃô·´Ó³¡£ÔÚѡȡÁòËáÆÏ¾ÛÌÇÎü¸½µÍÃܶÈÖ¬µ°°×µÄ͸Îö»¼ÕßÖÐ £¬Ò²Ôø»ã±¨¹ýÀà¹ýÃô·´Ó³¡£¶ÔÓÚÕâЩ»¼Õß £¬Ó¦ÊÔÂÇʹÓÃÆäËûÀàÐ͵Ä͸ÎöĤ £¬»òʹÓÃÆäËûÖÖÀàµÄÒ©Îï¡£

2.ÖÐÐÔÁ£Ï¸°ûÏ÷¼õ/Á£Ï¸°û²»×ã

ʹÓÿ¨ÍÐÆÕÀûÔøÒýÆð¹ÇËæÔöÉú²»Á¼ £¬´Ó¶øµ¼ÖÂÖÐÐÔÁ£Ï¸°û²»×㣨<1000/mm?£© £¬ÆäÖÐÔ¼Ò»°ë»¼Õß²úÉúÁËÈ«Éí»ò¿ÚǻϰȾ £¬»òÕßÁ£Ï¸°û²»×ãÖ¢µÄÆäËüÖ¢×´ÌØµã¡£

ÖÐÐÔÁ£Ï¸°ûÏ÷¼õµÄ²úÉú·çÏÕÈ¡¾öÓÚ»¼ÕßµÄÁÙ´²Çé¿ö£º

ÉöÖ°ÄÜÕý³££¨Crs£¼1.6mg/dLÇÒ²»°éÓнºÔ­Ñª¹Ü²¡£©µÄ¸ßѪѹ»¼ÕßÖÐ £¬ÖÐÐÔÁ£Ï¸°ûÏ÷¼õºÜº±¼û£¨£¼0.02%£©¡£

ÔÚÓп϶¨Ë®Æ½µÄÉöÖ°ÄÜÇÖº¦£¨ÑªÇ弡ôûÖÁÉÙ1.6mg/dl£©ÇÒ²»°éÓнºÔ­Ñª¹Ü²¡µÄ»¼ÕßÖÐ £¬ÁÙ´²³¢ÊÔÏÔʾ £¬ÖÐÐÔÁ£Ï¸°ûÏ÷¼õµÄ·çÏÕԼΪ0.2%¡£±Èµ¥´¿ÐÔ¸ßѪѹ»¼ÕßµÄÏàÓ¦²úÉúÂʸß15±¶¡£ÕâЩ»¼ÕßÖðÈÕ·þÓõĿ¨ÍÐÆÕÀû¼ÁÁ¿Ïà¶Ô½Ï¸ß £¬ÓÈÆäÓ¦ÊÔÂǵ½ÆäÉöÖ°ÄܵļõÍË¡£¶ÔÉöÖ°ÄÜË¥½ßµÄ»¼Õß £¬±ðàÑßÊ´¼Ó뿨ÍÐÆÕÀûºÏÓÃÔø²úÉúÖÐÐÔÁ£Ï¸°ûÏ÷¼õ £¬¹ÊÓ¦¼ÓÇ¿¾¯Ìè¡£

ÔÚÉöÖ°ÄÜÇÖº¦°éÓйɽºÔ­Ñª¹Ü²¡£¨ÀýÈç £¬ÏµÍ³ÐÔºì°ßÀÇ´¯ £¬Ó²Æ¤²¡£©µÄ»¼ÕßÖÐ £¬ÁÙ´²ÊÔÑéÏÔʾ £¬ÖÐÐÔÁ£Ï¸°ûÏ÷¼õµÄ²úÉúÂÊΪ3.7%¡£ÖÐÐÔÁ£Ï¸°ûÏ÷¼õÓë¼ÁÁ¿ÓÐ¹Ø £¬Í¨³£ÔÚ¿¨ÍÐÆÕÀûÒ½ÖÎÆðÍ·ºó3-12ÖܳöÀí £¬ÒÔ10-30Ìì×îÏÔÖø £¬Í¨³£À´Ëµ £¬ÖÐÐÔÁ£Ï¸°ûÔÚ¿¨ÍÐÆÕÀûÍ£ÓÃÔ¼2Öܺó¸´Ô­Õý³£¡£Ö»ÓÐÁÙ´²²¡Ç鸴ÔӵϼÕ߲Żá³öÏÖÑϳÁϰȾ¡£Ô¼13%µÄÖÐÐÔÁ£Ï¸°ûÏ÷¼õ²¡Àý²úÉúéæÃü £¬µ«ÏÕЩËùÓÐéæÃü²¡Àý¶¼²úÉúÔÚÓÐÑϳÁ¼²²¡µÄ»¼ÕßÖÐ £¬ÓнºÔ­Ñª¹Ü²¡¡¢ÉöÖ°ÄÜË¥½ß¡¢ÐÄÁ¦Ë¥½ß»ò½ÓÊÜÃâÒßÒÖÔì¼ÁÒ½ÖÎ £¬»òÒÔÉϸ´Ôӳɷֲ¢´æµÄ»¼Õß¡£

ÔÚ¶Ô¸ßѪѹ»òÐÄÁ¦Ë¥½ß»¼Õß½øÐÐÆÀ¼Ûʱ £¬¶¼Ó¦¸Ãͬʱ½øÐÐÉöÖ°ÄÜÆÀ¼Û¡£

ÈôÊÇÉöÖ°ÄÜÇÖº¦µÄ»¼Õß·þÓÿ¨ÍÐÆÕÀû £¬Ó¦¸ÃÔÚÒ½ÖÎÆðͷǰ½øÐа×ϸ°û¼ÆÊý¼°·ÖÀà¼ÆÊý²é³­ £¬×î³õ3¸öÔÂÿ2ÖÜÒ»´Î £¬¶ûºó¶¨ÆÚ²é³­ £¬ÓÐϰȾ¼£ÏóÊ±Ëæ¼´²é³­¡£

ÈôÊÇ»¼ÕßÓнºÔ­µ°°×²¡£¨ÈçÑϳÁϵͳÐÔºì°ßÀÇ´¯£© £¬»òÔÚ·þÓÃÆäËûÒÑÖª¶Ô°×ϸ°û»òÃâÒßÓ¦´ðÓÐÓ°ÏìµÄµÄÎï £¬³ö¸ñÊǵ±ÉöÖ°ÄÜÊÜËðʱ £¬´Ëʱ°×ϸ°û»òÁ£Ï¸°ûÏ÷¼õµÄ»úÓöÔö¶à £¬±ØÐëÔÚÆÀ¹À»ñÒæÎ¢·çÏÕºóÄÜÁ¦Ê¹Óÿ¨ÍÐÆÕÀû £¬ÆðÍ·ÓÃÒ©ºóÓ¦ÉóÉ÷¡£

ͨ³£Çé¿öÏ £¬ÔÚÍ£Óñ¾Æ·¼°ÆäËûÒ©Îïͨ³£³ÇÊÐʹ°×ϸ°û¼ÆÊýѸ¿ì¸´Ô­Õý³£ £¬Òò¶ø £¬ÔÚÈ·ÈÏ»¼ÕßÖÐÐÔÁ£Ï¸°ûÏ÷¼õ£¨ÖÐÐÔÁ£Ï¸°û¼ÆÊý<1000/mm?ºó £¬Ò½ÉúӦͣÓÿ¨ÍÐÌæÀû £¬²¢¶Ô»¼ÕߵIJ¡³ÌÇ×êÇËæ·Ã¡£

3.µ°°×Äò

³£²úÉúÓÚÒ½ÖÎÆðÍ·8¸öÔÂÄÚ¡£

½ÓÊÜ¿¨ÍÐÆÕÀûƬҽÖεϼÕßÖÐ £¬Ô¼0.7%¿É¼ûÄòµ°°××ÜÁ¿³¬¹ý1g/Ìì¡£ÆäÖÐ £¬Ô¼90%¼ÈÍùÓÐÉöÔಡµÄÖ¤¾Ý £¬»ò¿¨ÍÐÆÕÀûÒ½ÖμÁÁ¿Ïà¶Ô½Ï¸ß£¨³¬¹ý150mg/Ì죩 £¬»òÕâÁ½¸ö³É·Ö²¢´æ¡£Óе°°×ÄòµÄ»¼ÕßÖÐ £¬Ô¼Äª1/5³öÏÖÉö²¡×ÛºÏÖ¢ £¬ÎÞÊýÇé¿öÏ £¬ÎÞÂÛÊÇ·ñ³ÖÐø·þÓÿ¨ÍÐÆÕÀûƬ £¬´óÎÞÊý²¡Àýµ°°×ÄòÔÚ6¸öÔÂÄÚ»áÏ÷¼õ¡£ÉöÖ°ÄÜÖ¸±ê£¨ÈçÄòËØµªºÍѪÇ弡ôû£©ºÜÉÙÊÜÓ°Ïì £¬ÁƳ̲»ÊÜÓ°Ïì¡£

ÈôÊÇ»¼Õß¼ÈÍùÓÐÉöÔಡ £¬»ò¿¨ÍÐÆÕÀûÒ©µÄ¼ÁÁ¿³¬¹ý150mg/Ìì £¬Ó¦ÔÚÒ½ÖÎÆðͷǰ¹À²âÄòµ°°×£¨³õ´Î³¿ÄòÊÔÖ½·¨¼ì²â£© £¬²¢¶¨ÆÚ¼ì²âÄòµ°°× £¬½¨ÒéÄòµ°°×²é³­Ã¿ÔÂÒ»´Î¡£ÈôÊÇʹÓñ¾Æ·Ê±µ°°×ÄòÖð²½¼Ó³Á £¬Ó¦ÔÝͣʹÓñ¾Æ·»òÏ÷¼õÓÃÁ¿¡£

4.µÍѪѹ

¸ßѪѹ»¼Õߺ±¼û²úÉú¹ý¶ÈµÍѪѹ £¬µ«ÑÎ/ÈÝÁ¿ºÄ½ß»¼Õߣ¨ÀýÈçÑϸñÒûʳÏÞ¶ÈÄÆÑλò½ÓÊÜ´óÁ¿ÀûÔ­¼ÁÒ½ÖεÄÓÞÕߣ©¡¢ÐÄÁ¦Ë¥½ß»¼Õß»ò½øÐÐÉöÔà͸ÎöµÄÓÞÕß·þÓÿ¨ÍÐÆÕÀûºó¿ÉÄÜ»á²úÉúµÍѪѹ¡£¶ÌÔÝÐÔµÍѪѹ·´Ó³²»ÊǽøÒ»²½ÓÃÒ©µÄ½û¼ÉÖ¢ £¬Ò»µ©ÑªÑ¹Éý¸ßºó £¬¼´¿É³ÖÐøÓÃÒ©¡£

ÐÄÁ¦Ë¥½ßµÄ»¼ÕßѪѹͨ³£Õý³£»òÆ«µÍ £¬´ËÀ໼Õß·þÓÿ¨ÍÐÆÕÀûºó¿É³ö¹ÛÒ»¹ýÐÔµÄѪѹ½µµÍ £¬ÆäÖоùÔÈѪѹµÄ½µÂäˮƽ³¬¹ý20%µÄ»¼ÕßÔ¼Õ¼ÐÄÁ¦Ë¥½ß»¼Õß×ÜÊýµÄÒ»°ë¡£ÕâÖÖÒ»¹ýÐÔµÍѪѹ¶à¼ûÓÚÊ×¼ÁʹÓÿ¨ÍÐÆÕÀûºó £¬Í¨³£»¼Õß¿ÉÓÅÁ¼ÄÍÊÜ £¬²»»áÒýÆðÖ¢×´ £¬»ò½öÒýÆð¶ÌÔݵġ¢Çá΢µÄÍ·ÔÎ £¬µ«ÈÔÓм«ÉÙÊýµÄ»¼Õß²úÉú¹ýÐÄÂÊʧ³£»ò´«µ¼×èÖÍ¡£Ô¼ÓÐ3.6%µÄÐÄÁ¦Ë¥½ß»¼ÕßÓÉÓÚ²úÉúµÍѪѹ¶øÍ£Óÿ¨ÍÐÆÕÀû¡£

ÓÉÓÚ´ËÀ໼Õß·þÓÿ¨ÍÐÆÕÀûºóÓпÉÄܻᵼÖÂѪѹ½µµÍ £¬Òò¶øÔÚ³õ´Î½ÓÊÜ¿¨ÍÐÆÕÀûÒ½ÖÎʱ £¬Ó¦¶ÔÆä½øÐÐÇ×êǵÄҽѧ¼à²â¡£

ÒÔ6.25mg»ò12.5mg£¨ÖðÈÕ2´Î»ò3´Î£©µÄ³õʼ¼ÁÁ¿·þÓÿ¨ÍÐÆÕÀûƬʱ £¬Äܹ»½«µÍѪѹ·´Ó³½µÖÁ×îµÍ¡£ÔÚ³õʼ¼ÁÁ¿ºó £¬Ó¦ÖÁÉÙ½øÐÐ1Ó×ʱµÄҽѧ¼à²â £¬Ò½ÖÎÆðÍ·ºóµÄ×î³õ2ÖÜÄÚ £¬ÒÔ¼°¿¨ÍÐÆÕÀûµ¥ÓûòÓëÀûÄò¼ÁºÏÓõļÁÁ¿Ôö³¤Ê± £¬Ó¦Ç×êÇËæ·Ã»¼Õß¡£

²úÉúµÍѪѹ×ÔÉí²¢²»ÊÇÍ£Óÿ¨ÍÐÆÕÀûµÄÔ­Òò¡£ÐÄÁ¦Ë¥½ß»¼ÕßÔÚ³õ´Î½ÓÊÜ¿¨ÍÐÆÕÀûÒ½ÖÎʱ £¬ÆäÊæÕÅѹͨ³£³ÇÊгöÏֿ϶¨Ë®Æ½µÄ½µµÍ £¬²¢ÇÒÕâÖÖÊæÕÅѹµÄ½µµÍ¶Ô»¼ÕßÊÇÓÐÀûµÄ¡£Ò½ÖÎÔçÆÚµÄ½µÂä·ù¶È×î´ó £¬1-2ÖÜÄÚ²»±ä £¬Í¨³£ÔÚ2¸öÔÂÄÚ¸´Ô­µ½Ò½ÖÎǰˮƽ £¬²»°éÓÐÁÆÐ§µÄ½µÂä¡£

5.Ì¥¶ù/ÐÂÉú¶ù·¢²¡ÂʺÍéæÃüÂÊ

ÔÚ»³Ì¥ÆÚÓÃҩʱ £¬ACEÒÖÔì¼Á¿É·çÏÕÌ¥¶ù·¢Óý £¬ÉõÖÁÒýÆðÌ¥¶ùéæÃü¡£ÈôÊÇ·¢ÏÖ»¼ÕßÒÑ»³Ì¥ £¬Ó¦¾¡¿ìÍ£Óñ¾Æ·¡£

6.¸ÎÖ°ÄÜË¥½ß

¶ÔÓÚ¸ÎÖ°ÄÜË¥½ß £¬¾Ý±¨Â·ÓÃACEÒÖÔì¼ÁÒ½ÖÎʱ £¬Óм«ÉÙÊý²û·¢Îªµ¨Ö­ÐÔ»ÆðãºÍ¸Îϸ°ûÇÖº¦Õߺͣ¨ÓÐʱ£©ÖÂËÀ²¡Àý £¬¸ÃÖ¢×´µÄ»úÔìÉв»Ã÷ÏÔ¡£³öÏÖ»Æðã»ò¸ÎøÏÔÖøÉý¸ßµÄ»¼ÕßÓ¦¸ÃÖÕ³¡ÓÃACEÒÖÔì¼ÁÒ½ÖÎ £¬²¢½ÓÊÜÊʵ±µÄÒ½Ñ§Ëæ·Ã¡£

7.ÉöËØ-Ѫ¹ÜÑÏÖØËØ-È©¹Ìͪϵͳ£¨RAAS£©µÄË«³Á×è¶Ï

ACEÒÖÔì¼Á¡¢Ñª¹ÜÑÏÖØËØIIÊÜÐÝ×èÖͼÁ»ò°¢Àû¼ªÂصĺÏÓûáÔö³¤µÍѪѹ¡¢¸ß¼ØÑªÖ¢¼°ÉöÖ°ÄܽµÂ䣨Ô̺¬¼±ÐÔÉöÖ°ÄÜË¥½ß£©µÄ·çÏÕ¡£Òò¶ø £¬²»½¨Òéͨ¹ýºÏÓÃACEÒÖÔì¼Á¡¢Ñª¹ÜÑÏÖØËØIIÊÜÌå×èÖͼÁ»ò°¢Àû¼ª²Ö¶ÔRAAS½øÐÐË«³Á×è¶Ï¡£

8.ÉöÖ°ÄÜÇÖº¦

¸ßѪѹ£º¹é²¢ÉöÔ༲²¡ £¬ÓÈÆäÊÇÓгÁ¶ÈÉö¶¯ÂöÏÁÓ׵ϼÕß £¬ÔÚʹÓÿ¨ÍÐÆÕÀû½øÐнµÑ¹Ò½Öκó £¬»á³öÏÖÄòËØµªºÍѪÇ弡ôûµÄÉý¸ß £¬ÕâЩÉý¸ßͨ³£ÔÚÍ£Ò©ºóÄܹ»Äæ×ª¡£´Ëʱ¿ÉÄܱØÒª½µµÍ¿¨ÍÐÆÕÀûµÄ¼ÁÁ¿ºÍ/»òÍ£ÓÃÀûÄò¼Á £¬±ØÒªÊ±Í£Óñ¾Æ·¡£µ«¶Ô²¿ÃÅ»¼Õß¶øÑÔ £¬Î¬³Ö³ä×ãµÄÉöÔà¹àÁ÷ͬʱ½«ÑªÑ¹¸´Ô­µ½Õý³£Ë®Æ½ÏÕЩ²»³ÉÄÜ¡£

ÐÄÁ¦Ë¥½ß£º½ÓÊÜ¿¨ÍÐÆÕÀû³Ö¾ÃÒ½ÖεϼÕß £¬Ô¼20%µÄ»¼ÕßÄòËØµªºÍѪÇ弡ôû²»±äÉý¸ß £¬½ÏÕý³£Öµ»ò»ùÏßÖµ¸ß20%¡£Ö»Óв»¼°5%µÄ»¼Õߣ¨Í¨³£ÊǼÈÍù´æÔÚ³Á¶ÈÉöÔಡµÄ»¼Õߣ©ÓÉÓÚ¼¡ôû½øÐÐÐÔÉý¸ß¶ø±ØÒªÖÕÖ¹±¾Æ·Ò½ÖΡ£ËæºóµÄ¸ÄÉÆºÜ¿ÉÄÜÈ¡¾öÓÚ»¼ÕߵĻù´¡ÉöÔ༲²¡µÄÑϳÁˮƽ¡£

ÓÉÓÚ¿¨ÍÐÆÕÀûÖØÒªÍ¨¹ýÉöÔàÉø³ö £¬Òò¶øÔÚÉöÖ°ÄÜÇÖº¦µÄ»¼ÕßÖÐ £¬¿¨ÍÐÆÕÀûÉø³öÂʽµÂä £¬Ó¦Ñ¡È¡½ÏÓ×¼ÁÁ¿³É½ÏµÍµÄ¸øÒ©ÆµÂÊ £¬Ã¿´Îѡȡ½ÏÓ×µÄÔö·ù £¬»ºÂýµÝÔö£¨1ÖÜ»ò2ÖÜÒ»´Î£©¡£

ÉöÖ°ÄÜÇÖº¦»¼Õß £¬ÈôÐëͬʱÓÃÀûÄòÒ© £¬½¨ËµÓÃß»ÈûÃ×¶ø²»ÓÃàçàºÀà £¬ÑªÄòËØµªºÍ¼¡ôûÔö¸ßʱ £¬½«±¾Æ·¼õÁ¿»òͬʱͣÓÃÀûÄò¼Á¡£

9.¸ß¼ØÑªÖ¢

½ÓÊÜACEÒÖÔì¼Á£¨Ô̺¬¿¨ÍÐÆÕÀû£©Ò½ÖεÄһЩ»¼ÕßÖÐ £¬Ôø·¢ÏÖѪ¼ØÉý¸ß¡£½ÓÊÜACEÒÖÔì¼ÁÒ½ÖÎʱ £¬ÓвúÉú¸ß¼ØÑªÖ¢µÄ·çÏյϼÕßÔ̺¬ÉöÖ°ÄÜÇÖº¦¡¢ÌÇÄò²¡»¼Õß¡¢¹é²¢Ê¹Óñ£¼ØÀûÄò¼Á¡¢²¹¼Ø¼Á¡¢»òº¬¼ØµÄÑδúÌæÎï»òÕý·þÓÃÆäËû»áÒýÆðѪ¼ØÉý¸ßÒ©ÎïµÄ»¼Õß¡£Óë±£¼ØÀûÄò¼ÁºÏÓÃʱÓÅצ°ÑÎȲ鳭Ѫ¼Ø¡£

10.¿ÈËÔ

ËùÓÐACEÒÖÔì¼ÁµÄʹÓÃÖÐ £¬¶¼Óл¼Õß²úÉú¿ÈËÔ±¨Â· £¬ÕâÖÖ¿ÒòÔµÄÌØµãÊÇÎÞ̵¡¢³ÖÐøÐÔ £¬Í£Ò©ºó»º½â¡£¿ÒòÔµÄÕç±ðÕï¶ÏÖÐ £¬Ó¦Ô̺¬ACEÒÖÔì¼ÁÓÕ·¢µÄ¿ÈËÔ¡£

11.ÊÖÊõ/Âé×í

»¼ÕßÔÚ½ÓÊÜ´óÊÖÊõ»òѡȡ¿É²úÉúµÍѪѹµÄÒ©ÎïÖ´ÐÐÂé×íÆÚ¼ä £¬¿¨ÍÐÆÕÀû¿É×è¶Ï´ú³¥ÐÔÉöËØ¿ªÊÍÒýÆðµÄѪ¹ÜÑÏÖØËØIIÐγÉ¡£ÈôÊDzúÉúµÍѪѹ £¬²¢ÇÒÒÔΪµÍѪѹÊÇÕâÖÖ»úÔìµ¼Ö £¬ÔòÄܹ»Ñ¡È¡À©ÈݽøÐоÀÕý¡£

12.ÏÂÁÐÇé¿öÉ÷Óñ¾Æ·£º

£¨1£©¹ÇËèÒÖÔì¡£

£¨2£©ÄÔ¶¯Âö»ò¹Ú×´¶¯Âö¹©Ñª²»¼° £¬¿ÉÒòѪѹ½µµÍ¶øÈ±Ñª¼Ó¾ç¡£

£¨3£©Ñª¼Ø¹ý¸ß¡£

£¨4£©ÉöÖ°ÄÜÇÖº¦¶øÖÂѪ¼ØÔö¸ß £¬°×ϸ°û¼°Á£Ï¸°ûÏ÷¼õ £¬²¢Ê¹¿¨ÍÐÆÕÀûäóÁô £¬±ØÐëÔÚÆÀ¹À»ñÒæÎ¢·çÏÕºóÄÜÁ¦Ê¹Óá£

£¨5£©×Ô¶¯Âö°êÏÁÓ× £¬´Ëʱ¿ÉÄÜʹ¹Ú×´¶¯Âö¹à×¢Ï÷¼õ¡£

£¨6£©×ÔÉíÃâÒßÐÔ¼²²¡ÈçÑϳÁϵͳÐÔºì°ßÀÇ´¯ £¬´Ëʱ°×ϸ°û»òÁ£Ï¸°ûÏ÷¼õµÄ»úÓöÔö¶à¡£

£¨7£©ÑϸñÒûʳÏÞ¶ÈÄÆÑλò½øÐÐ͸ÎöÕß £¬´ËʱÊ×¼ÁʹÓÿ¨ÍÐÆÕÀû¿ÉÄܲúÉúºöÈ»¶øÑϳÁµÄµÍѪѹ¡£

13.ÈôÄÚ°ü×°¿ª·â»òÆÆË𠣬ÇëÎðʹÓá£

¡¾Ôи¾¼°²¸ÈéÆÚ¸¾Å®ÓÃÒ©¡¿

1.Ôи¾ÓÃÒ©£º¿¨ÍÐÆÕÀûÄÜͨ¹ýÌ¥ÅÌ £¬Ôи¾Ê¹Óÿ¨ÍÐÆÕÀû¿ÉÓ°ÏìÌ¥¶ù·¢Óý £¬ÒýÆðÌ¥¶ùºÍÐÂÉú¶ùÇÖº¦ÉõÖÁéæÃü £¬¹ÊÔи¾½ûÓá£

2.²¸ÈéÆÚ¸¾Å®ÓÃÒ©

¿¨ÍÐÆÕÀû¿ÉÅÅÈëÈéÖ­ £¬ÈéÖ­¿¨ÍÐÆÕÀûµÄŨ¶ÈԼΪĸÌåѪҺŨ¶ÈµÄ1%¡£ÓÉÓÚ²¸ÈéÆÚµÄÓ¤¶ù·þÓÿ¨ÍÐÆÕÀûºó¿ÉÄÜ»á²úÉúÑϳÁ²»Á¼·´Ó³ £¬ÔÚ×ö³öÖÕ³¡²¸Èé»òÖÕ³¡ÓÃÒ©µÄ¾ö°´Ê± £¬Ó¦½«¿¨ÍÐÆÕÀû¶ÔĸÇ׵ijÁÒªÐÔ˼¿¼ÔÚÄÚ¡£

¡¾¶ùͯÓÃÒ©¡¿

ÔÚ×Ó¹¬ÄÚ¶³öÓÚ¿¨ÍÐÆÕÀûµÄÐÂÉú¶ù£ºÈôÊDzúÉúÉÙÄò»òµÍѪѹ £¬Ó¦½«°ÑÎÈÁ¦¼¯ÖÐÔÚѪѹ֧³ÖºÍÉö¹à×¢ÉÏ¡£×÷ÎªÄæ×ªµÍѪѹºÍ/»ò°ü°ìÒѾ­Òì³£µÄÉöÖ°ÄܵIJ½Öè £¬¿ÉÄܱØÒª»»ÑªÁÆ·¨»ò͸Îö¡£Ö»¹ÜѪҺ͸ÎöÄܹ»½«³ÉÈËѪҺѭ»·ÖеĿ¨ÍÐÆÕÀû¶Ï¸ù £¬µ«ÊÇ £¬ÔÚͨ¹ýѪҺ͸Îö´ÓÐÂÉú¶ù»ò¶ùͯѪҺѭ»·Öжϸù¿¨ÍÐÆÕÀûµÄÓÐЧÐÔ·½ÃæÉÐÎÞ×ã¹»Êý¾Ý¡£¸¹Ä£Í¸Îö²»ÄÜÓÐЧµØ¶Ï¸ù¿¨ÍÐÆÕÀû£»ÉÐÎÞ»»ÑªÒ½ÖδÓÈ«ÉíѪҺѭ»·Öжϸù¿¨ÍÐÆÕÀûµÄÐÅÏ¢¡£

¿¨ÍÐÆÕÀûƬÔÚ¶ùͯ»¼ÕßÖеÄÓÐЧÐԺͰ²È«ÐÔÉÐδ³ÉÁ¢¡£ÎļþÖб¨Â·µÄ¿¨ÍÐÆÕÀûÔÚ¶ùͯÖÐʹÓõľ­ÑéÓÐÏÞ£»»ùÓÚÌå³ÁµÄ¼ÁÁ¿Í¨³£Óë³ÉÄêÈËÏ൱»òµÍÓÚºóÕß¡£

Ó¤¶ù³ö¸ñÊÇÐÂÉú¶ù¿ÉÄܶԿ¨ÍÐÆÕÀûµÄѪÁ÷¶¯Á¦Ñ§²»Á¼Ó°ÏìÔ½·¢Ãô¸Ð¡£ÔøÓл㱨¿¨ÍÐÆÕÀûƬÔÚÓ¤¶ù¿ÉÒýÆðѪѹ¹ý¶È¡¢ÓƾÃÒÔ¼°ÎÞ·¨Ô¤²âµÄÅãÐÔ×÷ÉÙÄòÓë³é´¤¡£

±¾Æ·½öÏÞÓÃÓÚÆä»¯½µÑ¹Ò½ÖÎÎÞЧµÄ¶ù¿Æ²¡ÈË¡£

¡¾ÀÏÄêÓÃÒ©¡¿

ÀÏÄêÈ˶ԽµÑ¹×÷ÓýÏÃô¸Ð £¬ÀûÓñ¾Æ·ÐëµÄ×üõ¼ÁÁ¿¡£

¡¾Ò©ÎïÏ໥×÷Óá¿

1.ÀûÄò¼Á£º½ÓÊÜÀûÄò¼ÁÒ½ÖεϼÕß £¬³ö¸ñÊǽüÆÚÆðÍ·´ÍÓëÀûÄò¼ÁÒ½ÖεϼÕß £¬ÒÔ¼°½ÓÊÜÑϸñµÄÏÞÑδ¶Ê»ò½øÐÐ͸ÎöµÄ»¼Õß £¬Å¼È»»á²úÉúѪѹµÄ¼±¾ç½µÂä £¬Í¨³£¼ûÓÚ¿¨ÍÐÆÕÀûÊ×¼ÁºóµÄµÚÒ»¸öÓ×ʱÄÚ¡£

ÓëÀûÄòҩͬʱʹÓÃʹ½µÑ¹×÷ÓüÓÇ¿ £¬µ«Ó¦Ô¤·ÀÒýÆðÑϳÁµÍѪѹ £¬¹ÊÔ­ÓÃÀûÄòÒ©ÕßÒËÍ£Ò©»ò¼õÁ¿ £¬±¾Æ·ÆðÍ·ÓÃÓ×¼ÁÁ¿ £¬Öð´ëÊ©Õû¼ÁÁ¿¡£

2.ÓÐÀ©Ñª¹Ü»îÐÔµÄÒ©ÎͬÓÿÉÄÜÖµÍѪѹ¡£Òò±ÈÔÚ±¾Æ·Ò½ÖÎÆðͷǰ £¬ÈçÓпÉÄÜ £¬Ó¦ÖÕ³¡Ê¹ÓÃÏõËá¸ÊÓÍ»òÕ߯äËûµÄÏõËáÑÎÀàµÄÒ©ÎÓÃÓÚÒ½ÖÎÐĽÊÍ´£©»òÕßÓµÓÐÀ©Ñª¹Ü»îÐÔµÄÆäËûÒ©Îï¡£ÈôÊǽÓÊܱ¾Æ·Ò½ÖÎÆÚ¼äºÏÓÃÕâЩҩÎï £¬ÔòÓ¦ÉóÉ÷´ÍÓë £¬ÇҴӽϵͼÁÁ¿ÆðÍ·¡£

3¡¢ÒýÆðÉöËØ¿ªÊ͵ÄÒ©Î¿ÉÄÜÒýÆðÉöËØ¿ªÊ͵ĽµÑ¹µÄ¿É·Å´ó¿¨ÍÐÆÕÀûµÄҩЧ¡£ÀýÈç £¬ÀûÄò¼Á£¨ÈçàçàºÀࣩ¿ÉÄܼ¤»îÉöËØ-Ѫ¹ÜÑÏÖØËØ-È©¹Ìͪϵͳ¡£

4¡¢Ó°Ïì½»¸ÐÉñ¾­»îÐÔµÄÒ©ÎÔÚ½ÓÊÜ¿¨ÍÐÆÕÀûµ¥¶ÀÒ½ÖλòºÏÓÃÀûÄò¼ÁÒ½ÖεϼÕßÖÐ £¬½»¸ÐÉñ¾­ÏµÍ³¶ÔÓÚѪѹ֧³ÖÓÈΪ³ÁÒª¡£ÓëÓ°Ïì½»¸ÐÉñ¾­»îÐÔµÄÒ©ÎÉñ¾­½Ú×èÖͼÁ»òÉöÉÏÏÙÄÜÉñ¾­×èÖͼÁ£©ÒÔ¼°¦ÂÊÜÌå×èÖͼÁºÏÓóÇÊÐÒýÆð½µÑ¹×÷ÓüÓÇ¿ £¬Ó¦ÉóÉ÷¡£

5.ÉýѪ¼ØÒ©ÎÓÉÓÚ¿¨ÍÐÆÕÀû»á½µµÍÈ©¹ÌͪÌìÉú £¬Òò±È £¬¿ÉÄܲúÉúѪ¼ØÉý¸ß¡£±£¼ØÀûÄò¼ÁÈçÂÝÄÚõ¥¡¢°±±½µûड¢°¢Ã×ÂåÀû»ò²¹¼Ø¼ÁÖ»ÄÜÓÃÓÚÃ÷È·µÄµÍ¼ØÑªÖ¢ £¬Ê¹ÓÃʱӦÉóÉ÷ £¬ÓÉÓÚͬÓÿÉÄÜ»áÒýÆðѪ¼ØÏÔÖøÉý¸ß¡£º¬¼ØµÄÑδúÌæÎïÒ²Ó¦ÉóÉ÷ʹÓá£

6¡¢ÄÚÔ´ÐÔǰÁÐÏÙËØºÏ³ÉÒÖÔì¼Á£º·ÇçÞÌ忹Ñ×Ò©NSAIDs¿ÉÄÜ»á¼õÈõACEÒÖÔì¼Á£¨Ô̺¬¿¨ÍÐÆÕÀû£©µÄ½µÑ¹×÷Óà £¬³ö¸ñÊÇÔÚµÍÉöËØÐ͸ßѪѹµÄÇé¿öÏ¡£ÆäËû·ÇçÞÌåÀ࿹Ñ×Ò©£¨ÀýÈ簢˾ƥÁÖ£©¿ÉÄÜÒ²ÓÐÕâÖÖ×÷Óá£ÀÏÄ껼Õß £¬¹é²¢Ê¹ÓÃNSAIDs£¨Ô̺¬Ñ¡ÔñÐÔ»·Ñõø2£¨COX-2£©ÒÖÔì¼Á£©ºÍACEÒÖÔì¼Á£¨Ô̺¬¿¨ÍÐÆÕÀû£© £¬¿ÉÄܻᵼÖÂÉöÖ°Äܶñ»¯£¨Ô̺¬¿ÉÄܲúÉúµÄ¼±ÐÔÉöÖ°ÄÜË¥½ß£©¡£ÕâЩӰÏìͨ³£ÊÇ¿ÉÄæÐԵġ£¶ÔÓÚ½ÓÊÜ¿¨ÍÐÆÕÀûºÍNSAIDsÒ½ÖεϼÕß £¬Ó¦¶¨ÆÚ¼à²âÉöÖ°ÄÜ¡£

7.﮼Á£ºÔÚºÏÓÃ﮼ÁºÍACEÒÖÔì¼ÁµÄ»¼ÕßÖÐ £¬Ôø»ã±¨ÑªÇåï®Ë®Æ½Éý¸ßºÍï®Öж¾Ö¢×´¡£ºÏÓÃÕâЩҩÎïʱӦÉóÉ÷ £¬²¢ÇÒ½¨Òéʱʱ¼à²âѪÇåï®Ë®Æ½¡£ÈôÊÇͬʱºÏÓÃÀûÄò¼Á £¬ï®Öж¾µÄ·ïÏÕ¿ÉÄÜ»áÔö³¤¡£

8¡¢½µÌÇÒ©ÎACEÒÖÔì¼Á£¨Ô̺¬¿¨ÍÐÆÕÀû£©¿É¼ÓÇ¿ÒȵºËؼ°¿Ú·þ½µÌÇÒ©£¨ÀýÈç»ÇëåÀࣩÔÚÌÇÄò²¡»¼ÕßÖеĽµÌÇ×÷Óá£

9.ÉöËØ-Ѫ¹ÜÑÏÖØËØ-È©¹Ìͪϵͳ£¨RAAS£©µÄË«³Á×è¶Ï

ÁÙ´²ÊÔÑéÊý¾ÝÏÔʾ £¬Í¨¹ýºÏÓÃACEÒÖÔì¼Á¡¢Ñª¹ÜÑÏÖØËØIIÊÜÌå×èÖͼÁÍþ°¢Àû¼ªÂضÔÉöËØ-Ѫ¹ÜÑÏÖØËØ-È©¹Ìͪϵͳ£¨RAAS£©½øÐÐË«³Á×è¶Ïʱ £¬ÓëֻʹÓÃÒ»ÖÖ×÷ÓÃÓÚRAASµÄÒ©ÎïÏà±È £¬²»Á¼ÊÂÎñ£¨ÀýÈçµÍѪѹ¡¢¸ß¼ØÑªÖ¢ºÍÉöÖ°ÄܽµÂ䣨Ô̺¬¼±ÐÔÉöÖ°ÄÜË¥½ß£©£©µÄ²úÉúÂÊÉý¸ß¡£´óÎÞÊý²¡È˽ÓÊÜÁ½ÖÖRAASÒÖÔì¼Á½áºÏÒ½Öαȵ¥Ò»ÁÆ·¨Ã»ÓлñµÃ¶î±íÒæ´¦¡£Í¨³£À´Ëµ £¬Ó¦Ô¤·À½áºÏʹÓÃRAASÒÖÔì¼Á¡£¶ÔÓÚ½ÓÊܱ¾Æ·¼°ÆäËûÓ°ÏìRAASµÄÒ©ÎïÒ½ÖεϼÕß £¬Ó¦Ç×êǼà²âѪѹ¡¢Éö¶¯Äܼ°µç½âÖÊ¡£

ÌÇÄò²¡Éö²¡»¼Õß²»ÈݺÏÓÃACEÒÖÔì¼ÁºÍѪ¹ÜÑÏÖØËØIIÊÜÌå×èÖͼÁ¡£

ÉöÖ°ÄÜÇÖº¦£¨ÉöÓ×ÇòÂ˹ýÂÊGFR<60ml/min£©µÄ»¼ÕßÓ¦Ô¤·ÀºÏÓð¢Àû¼ªÂغͱ¾Æ·¡£

10.Ò©Îï/³¢ÊÔÊҲ鳭Ï໥×÷ÓÃ

¿¨ÍÐÆÕÀû¿ÉÒýÆðÄò±ûͪ²é³­¼ÙÑôÐÔ¡£

11.ÓëÆäËû½µÑ¹Ò©ºÏÓà £¬½µÑ¹×÷ÓüÓÇ¿¡£

¡¾Ò©Îï¹ýÁ¿¡¿

ÓâÁ¿¿ÉÖµÍѪѹ £¬²úÉúÒ©Îï¹ýÁ¿Ê± £¬Ó¦Ê×ÏÈ˼¿¼¾ÀÕýµÍѪѹ¡£¸Ãµ±¼´Í£Ò© £¬ÔÚ¶Ô»¼Õß½øÐÐѪѹ¸´Ô­Ê± £¬Äܹ»Ñ¡Ôñͨ¹ý¾²ÂöÊä×¢ÉúÀíÑÎË®À©ÈÝÒÔ¾ÀÕý¡£

³ÉÈËѪҺѭ»·ÖеĿ¨ÍÐÆÕÀûÄܹ»Í¨¹ýѪҺ͸Îö¶Ï¸ù £¬µ«Ä¿Ç°ÎÞ×ã¹»µÄÊý¾ÝÖ¤Ã÷ѪҺ͸Îö¶ÔÐÂÉú¶ù»ò¶ùͯÌåÄÚ¿¨ÍÐÆÕÀûµÄ¶Ï¸ùͬÑùÓÐЧ¡£¸¹Ä¤Í¸ÎöÎÞ·¨ÓÐЧ¶Ï¸ùѪҺѭ»·ÖеĿ¨ÍÐÆÕÀû £¬Ä¿Ç°Éв»Ã÷ÏÔ´úÌæÑªÁÆ·¨ÊÇ·ñ¿É¶Ï¸ùÌåÄڵĿ¨ÍÐÆÕÀû¡£

¡¾Ò©Àí¶¾Àí¡¿

Ò©Àí×÷ÓÃ

¿¨ÍÐÆÕÀûΪ¾ºÕùÐÔѪ¹ÜÑÏÖØËØ×ª»»Ã¸ÒÖÔì¼Á £¬Ê¹Ñª¹ÜÑÏÖØËØI²»ÄÜת»»ÎªÑª¹ÜÑÏÖØËØII £¬´Ó¶ø½µµÍ±íÖÜѪ¹Ü×èÁ¦ £¬²¢Í¨¹ýÒÖÔìÈ©¹ÌͪÅÅй £¬Ï÷¼õË®ÄÆäóÁô£»»¹¿Éͨ¹ý×ÌÈÅ»º¼¤ëĵĽµ½âÀ©ÕűíÖÜѪ¹Ü£»Ò²¿É½µµÍ·ÎëϸѪ¹ÜШѹ¼°·ÎѪ¹Ü×èÁ¦ £¬Ôö³¤ÐÄÊä³öÁ¿¼°»î¶¯ÄÍÊܹ¦·ò¡£

¶¾Àí×êÑÐ

ͨ³£¶¾ÐÔ

ÔÚÓ×Êó¡¢´óÊó¡¢È®ºÍºï £¬±ðÍÑÀëÕ¹Á˳Á¸´¸øÒ©¶¾ÐÔÊÔÑ飨Ó×Êó£º2Äꣻ´óÊó£º2ÄꣻȮ£º47ÖÜ £¬1Äꣻºï£º1Ä꣩ £¬ÓëÒ©ÎïÓйص;ÐÔÔ̺¬¶ÔÔìѪְÄܵÄÓ°Ïì¡¢ÉöÔà¶¾ÐÔ¡¢Î¸¸¯ÀÃ/À£Ññ¡¢ÊÓÍøÄ¤Ñª¹Ü±äÒì¡£

Ó×Êó¡¢´óÊóºÍºï¾­¿Ú´ÍÓ뿨ÍÐÆÕÀû¼ÁÁ¿Îª×î´óÍÆ¼öÈËÀà¼ÁÁ¿£¨MRHD£©µÄ50±¶µ½150±¶Ê± £¬¿É¼ûѪºìµ°°×ºÍ/»òºìϸ°ûѹ»ýÊýÖµ½µÂ䡣Ȯ¾­¿Ú¸øÒ©¼ÁÁ¿ÎªMRHDµÄ8±¶µ½30±¶Ê± £¬¿É¼ûѪÐé¡¢°×ϸ°ûÏ÷¼õ¡¢ÑªÓ×°åÏ÷¼õºÍ¹ÇËèÒÖÔì¡£Ó×ÊóºÍ´óÊó½ö1ÄêºóµÄѪºìµ°°×ºÍºìϸ°ûѹ»ýÊýÖµ½µÂäÏÔÖø £¬¿ÉÄæ¡£ÔÚÈ®ÊÔÑéÖÐ £¬ËùÓмÁÁ¿Ë®Æ½£¨8µ½30±¶MRHD£©¾ù¿É¼ûÏÔÖøÑªÐé £¬Öжȵ½ÏÔÖø°×ϸ°ûÏ÷¼õ±ðÀë²úÉúÔÚMRHDµÄ15±¶ºÍ30±¶Ê± £¬ÑªÓ×°åÏ÷¼õ²úÉúÔÚMRHDµÄ30±¶Ê±¡£Í£Ò©ºó £¬ÑªÐé¿ÉÄæ¡£¹ÇËèÒÖÔìµÄ²úÉúˮƽ²»Ò»£ºÔÚ1ÄêµÄ×êÑÐÖÐ £¬¼ûÓÚéæÃüµÄÈ®»òÔÚ±ôËÀ״̬±»Õý·¨µÄÈ® £¬µ«ÔÚ47ÖܵÄ×êÑÐÖÐ £¬¼ÁÁ¿ÎªMRHDµÄ30±¶Ê± £¬¹ÇËèÒÖÔì¿ÉÄæ×ª¡£Ó×ÊóºÍ´óÊó¾­¿Ú´ÍÓ뿨ÍÐÆÕÀû¼ÁÁ¿ÎªMRHDµÄµ½200±¶Ê± £¬ºï¸øÒ©¼ÁÁ¿ÎªMRHDµÄ20µ½60±¶Ê± £¬È®¼ÁÁ¿ÎªMRHDµÄ30±¶Ê± £¬¿É¼ûÉöÓ×ÇòÅÔÆ÷ÔöÉú¡£

ÐÛÐÔ´óÊó¾­¿Ú´ÍÓ뿨ÍÐÆÕÀû¼ÁÁ¿ÎªMRHDµÄ20±¶ºÍ200 £¬È®ºÍºï±ðÀë¾­¿Ú´ÍÓ뿨ÍÐÆÕÀûMRHDµÄ30±¶ºÍMRHDµÄ65±¶Ê± £¬Î¸¸¯ÀÃ/À£ÑñµÄ²úÉúÂÊÉý¸ß £¬Íþ­¿Ú´ÍÓ뿨ÍÐÆÕÀû5-7Ìì¼ÁÁ¿Ô¼ÎªMRHDµÄ30±¶ £¬¿É¼ûθÀ£ÑñºÍ³¦Â·À£Ññ²úÉú¡£´óÊó¾­¿Ú´ÍÓ뿨ÍÐÆÕÀû2Äê £¬ÔÚËùÓмÁÁ¿Ë®Æ½£¨MRHDµÄ7±¶µ½20±¶£© £¬¿É¼û½øÐÐÐÔÊÓÍøÄ¤Ñª¹Ü¹Ü¾¶²»³ÉÄæÐÔŤת £¬³Ê¼ÁÁ¿ÓйØÐÔ¡£×îÔçÔÚ¸øÒ©µÚ88ÖܳöÏÖ £¬Ö®ºó²úÉúÂʽøÐÐÐÔÉý¸ß £¬Í£Ò©ºó²»³ÉÄæ¡£

Ö°©ÐÔ

Ó×Êó £¬´óÊó±ðÀëÖðÈÕ´ÍÓ뿨ÍÐÆÕÀû50-1350mg/kg £¬¸øÒ©2Äê £¬¾ùδ¼ûÖ°©×÷Óà £¬Æä¸ß¼ÁÁ¿ÎªÈË×î´óÍÆ¼ö¼ÁÁ¿£¨50kg £¬450mg£©µÄ150ÐÅ¡£¾ÝÌå±í±í»ýÕÛËã £¬Ó×ÊóºÍ´óÊóµÄ×î¸ß¼ÁÁ¿±ðÀëΪÈË×î´óÍÆ¼ö¼ÁÁ¿µÄ13ºÍ26±¶¡£

¡¾Ò©´ú¶¯Á¦Ñ§¡¿

¿¨ÍÐÆÕÀûƬ¿Ú·þºóÎüÊÕѸ¿ì £¬ÎüÊÕÂÊÔÚ75%ÒÔÉÏ¡£¿Ú·þºó15·ÖÖÓÆðЧ £¬Ô¼Äª1Ó×ʱ´ïѪҩ·åŨ¶È £¬³ÖÐø6-12Ó×ʱ¡£Î¸³¦ÖÐʳƷ¿Éʹ¿¨ÍÐÆÕÀûÎüÊÕÏ÷¼õ30%-40% £¬¹ÊÒËÔÚ²Í1Ó×ʱ·þÒ©¡£»ùÓÚ14CÏóÕ÷×êÑÐ £¬24Ó×ʱÄÚ95%ÒÔÉϵÄÎüÊÕÒ©Îïͨ¹ýÄò񼃿³ö £¬40%-50%ÎªÕæÏàÒ© £¬Ôü×Ò²¿ÃÅÖØÒªÎª¿¨ÍÐÆÕÀû¶þÁò»¯Îï¶þ¾ÛÌåºÍ¿¨ÍÐÆÕÀû-°ëë×°±Ëá¶þÁò»¯Îï¡£Ò©ÎïѪ½¬µ°°×½áºÏÂÊԼĪΪ25%-30%¡£ÑªÒºÖÐ×Ü·ÅÉä»îÐԵıí¹Û¶Ï¸ù°ëË¥ÆÚԼĪÓ×ÓÚ3Ó×ʱ £¬×êÑÐδÄÜÕýÈ·²â¶¨ÕæÏ࿨ÍÐÆÕÀûµÄ°ëË¥ÆÚ £¬µ«ºÜ¿ÉÄÜÓ×ÓÚ2Ó×ʱ¡£ÉöÖ°ÄÜÇÖº¦Ê±»á²úÉúÒ©ÎïäóÁô¡£½µÑ¹×÷ÓÃΪ½øÐÐÐÔ £¬Ô¼ÊýÖÜ´ï×î´óÒ½ÖÎ×÷Óá£

¿¨ÍÐÆÕÀû²»ÄÜͨ¹ýѪÄÔ½âÕÏ¡£¿¨ÍÐÆÕÀû¿Éͨ¹ýÈéÖ­ÅÅй £¬Äܹ»Í¨¹ýÌ¥ÅÌ¡£

¡¾Öü²Ø¡¿Õڹ⠣¬ÃÜ·â±£Áô¡£

¡¾°ü×°¡¿ËÜÁÏÆ¿×° £¬100Ƭ/Æ¿¡£

¡¾ÓÐЧÆÚ¡¿24¸öÔÂ

¡¾Ö´Ðг߶ȡ¿¹ú¶ÈÒ©Æ·¼à¶½ÖÎÀí¾Ö³ß¶ÈYBH07002020

¡¾ºË×¼Îĺš¿¹úÒ©×¼×ÖH14021648

¡¾ÉÏÊÐÐí¿É³ÖÓÐÈË¡¿

Ãû³Æ£ºÉ½Î÷±ØÓ®ÑÇÖÞ°²ÐÀÉúÎïÔìÒ©ÓÐÏÞ¹«Ë¾

×¢²áµØÖ·£ºÉ½Î÷Ê¡½úÖÐÊÐɽÎ÷ʾ·¶Çø½úÖпª·¢Çø»ãͨ²úÒµÔ°Çø»þ³Ç·908ºÅ

¡¾³ö²úÆóÒµ¡¿

ÆóÒµÃû³Æ£ºÉ½Î÷±ØÓ®ÑÇÖÞ°²ÐÀÉúÎïÔìÒ©ÓÐÏÞ¹«Ë¾

³ö²úµØÖ·£ºÉ½Î÷Ê¡½úÖÐÊлþ³Ç·908ºÅ£¨½úÖо­¼Ã¼¼Êõ¿ª·¢ÇøÃñÓª¿Æ¼¼Ô°£©

²¿Õþ±àÂ룺030600

µç»°ºÅÂ룺£¨0354£©2467987

´«ÕæºÅÂ룺£¨0354£©2461887

꿅᣼www.zdjt.com

da63e5b76069354863d3d9d26f0229c5
¿¨ÍÐÆÕÀûƬ
¡¾³É¡¡¡¡·Ý¡¿±¾Æ·ÖØÒª³É·ÝΪ¿¨ÍÐÆÕÀû¡£
¡¾Ö°ÄÜÖ÷ÖΡ¿1.¸ßѪѹ£»2.ÐÄÁ¦±í½ß¡£
¡¾¹æ¡¡¡¡¸ñ¡¿25mg
¡¾ºË×¼Îĺš¿¹úÒ©×¼×ÖH14021648
²úÆ·×¢Ã÷

¡¾Ò©Æ·Ãû³Æ¡¿

ͨÓÃÃû³Æ£º¿¨ÍÐÆÕÀûƬ

Ó¢ÎÄÃû³Æ£ºCaptoprilTablets

ººÓïÆ´Òô£ºKatuopuliPian

¡¾³É·Ý¡¿±¾Æ·ÖØÒª³É·ÝΪ¿¨ÍÐÆÕÀû¡£

»¯Ì¨¸¦³Æ£º1-[(2S)-2-¼×»ù-3-Êè»ù-1-±ûõ£»ù]-l-¸¬ÇâËá

»¯Ñ§½á¹¹Ê½£º

¿¨ÍÐÆÕÀûƬ,¿¨ÍÐÆÕÀû

·Ö×Óʽ£ºC9H15NO3S

·Ö×ÓÁ¿£º217.29

¡¾ÐÔ×´¡¿±¾Æ·Îª°×É«»òÀà°×ɫƬ £¬Ò»Ãæ´øÓÐÊ®×ֿ̺Û¡£

¡¾ÊÊÓ¦Ö¢¡¿1.¸ßѪѹ£»2.ÐÄÁ¦±í½ß¡£

¡¾¹æ¸ñ¡¿25mg

¡¾Ó÷¨ÓÃÁ¿¡¿ÊÓ²¡Çé»ò¸ö±ð²î¾à¶ø¶¨¡£±¾Æ·ÒËÔÚҽʦÁìµ¼»ò¼à»¤Ï·þÓà £¬¸øÒ©¼ÁÁ¿Ðë×ñÑ­¸ö±ð»¯×¼Ôò £¬°´ÁÆÐ§¶øÓèÒÔµ÷Õû¡£

¸ßѪѹ

Ò½ÖÎÆðͷǰ £¬±ØÒªË¼¿¼½üÆÚ½µÑ¹Ò©ÎïÒ½ÖÎÇé¿ö¡¢ÑªÑ¹Éý¸ßµÄˮƽ¡¢ÏÞÑμ°ÆäËûÁÙ´²Çé¿ö¡£³õʼ¼ÁÁ¿¿Ú·þÒ»´Î12.5mg £¬ÖðÈÕ2-3´Î¡£ÈôÊÇÔÚ1ÖÜ»ò2ÖܺóÈÔδ»ñµÃÖÐÒâµÄѪѹ½µµÍ £¬ÔòÄܹ»½«¼ÁÁ¿Ôö³¤ÎªÒ»´Î50mg £¬ÖðÈÕ2-3´Î¡£µ¥¶ÀʹÓñ¾Æ·Ê± £¬Í¬Ê±´ÍÓëÏÞÄÆ´ëÊ©ÓÚ»¼ÕßÓÐÀû¡£ÓÃÓÚÒ½ÖθßѪѹµÄ¼ÁÁ¿Í¨³£²»³¬¹ý50mg £¬ÖðÈÕ3´Î¡£ÈôÊÇÒÀÕմ˼ÁÁ¿Ò½ÖÎ1ÖÁ2Öܺó £¬ÑªÑ¹Ã»Óеõ½ÖÐÒâµÄ½ÚÔ죨δºÏÓÃÀûÄò¼Á£© £¬ÔòÓ¦Ôö³¤ÖеȼÁÁ¿µÄàçàºÀàÀûÄò¼Á£¨ÀýÈç £¬ÇâÂÈàçຠ£¬ÖðÈÕ25mg£©¡£ÀûÄò¼ÁµÄ¼ÁÁ¿Äܹ»Æ¾¾ÝѪѹ½ÚÔìÇé¿ö˼¿¼Ã¿¸ô1ÖÜ»ò2ÖÜÔö³¤1´Î £¬Ö±ÖÁ´ïµ½Ö¸±êѪѹ¡£ÈôÊÇÔÚÒѾ­½ÓÊÜÀûÄò¼ÁÒ½ÖεϼÕßÖÐÆðͷʹÓñ¾Æ· £¬Ó¦ÔÚçÇÃܵÄҽѧ¼à²âÏÂÆðÍ·Ò½ÖΡ£¶ÔÓÚ³Á¶È¸ßѪѹ£¨ÀýÈç¼±½øÐ͸ßѪѹ»ò¶ñÐÔ¸ßѪѹ£©Õß £¬ÁÙʱͣÓÃĿǰ½µÑ¹Ò½Öβ»ÏÖʵ £¬»òÐèµ±¼´½«ÑªÑ¹½µÖÁÕý³£Ë®Æ½Ê± £¬ÔòÓ¦³ÖÐøÊ¹ÓÃÀûÄò¼Á £¬µ«ÐèÍ£¼ÓÆäËûÔÚÒ½ÖεĽµÑ¹Ò© £¬ÔÚçÇÃܵÄҽѧ¼à²âÏ £¬µ±¼´ÆðÍ·±¾Æ·25mgÖðÈÕ2´Î»ò3´ÎÒ½ÖΡ£ÈôÊÇ»¼ÕßÁÙ´²±ØÒª £¬Äܹ»ÔÚ¶¯Ì¬Ò½Ñ§¼à²âµÄǰÌáÏ £¬ÒÀÕÕÿ24Ó×ʱ»ò¸ü¶ÌµÄ¹¦·òÔö³¤±¾Æ·µÄÖðÈÕ¼ÁÁ¿ £¬Ö±ÖÁ»ñµÃÖÐÒâµÄѪѹ½ÚÔì»òÕßÖ±ÖÁ±¾Æ·µÄ×î¸ß¼ÁÁ¿¡£ÒÀÕÕ´ËÖֹ滮¸øÒ©Ê± £¬¿ÉÄÜ»¹±ØÒªÊ¹ÓøüÇ¿µÄÀûÄò¼Á £¬Èçß»ÈûÃס£

ÐÄÁ¦Ë¥½ß

±¾Æ·±ØÐëÔÚçÇÃܵÄҽѧ¼à²âÏÂÆðÍ·Ò½ÖΡ£

Ò½ÖÎÆðͷǰ £¬Èô´ËÇ°Ôø³ä·Ö½ÓÊÜÀûÄò¼ÁÒ½ÖÎ £¬¿ÉÄÜ´æÔÚµÍÄÆºÍ/»òµÍѪÈÝÁ¿ £¬¶øÑªÑ¹Õý³£»òÆ«µÍµÄ»¼Õß £¬³õʼ¼ÁÁ¿ÒËÓÃ6.25mgÖðÈÕ3´Î £¬¿É×î´óˮƽµØ½µµÍµÍѪѹ·´Ó³µÄˮƽºÍ³ÖÐø¹¦·ò £¬ÒÔÀ´Ç×êǼà²â £¬²¢Öð²½Ôö³¤ÖÁ³£ÓÃÁ¿¡£

´óÎÞÊý»¼Õߵijõʼ¼ÁÁ¿ÎªÒ»´Î12.5mgÖðÈÕ2-3´Î £¬Ó¦Æ¾¾Ý»¼Õߵķ´Ó³¡¢ÁÙ´²×´Ì¬ºÍÄÍÊÜÐÔµ÷Õûά³Ö¼ÁÁ¿ £¬±ØÒªÊ±Öð²½ÔöÖÁ50mg £¬ÖðÈÕ2-3´Î¡£¼ÁÁ¿ÔöÓ¦ÖÁÉÙÎʸô2ÖÜÀ´ÆÀ¹À»¼Õߵķ´Ó³¡£×î¸ß¿ÉÖÁ150mg/Ìì £¬·Ö2-3´Î·þÓá£

¡¾²»Á¼·´Ó³¡¿

1.ÁÙ´²ÊÔÑé

¿¨ÍÐÆÕÀûµÄÁÙ´²ÊÔÑéÖл㱨µÄ²»Á¼ÊÂÎñÈçÏ£¨»¼ÕßÈËÊýԼΪ7000Àý£©£º

£¨1£©Æ¤·ô£ºÆ¤Õî £¬Í¨³£°éÓÐðþÑ÷ £¬ÓÐʱ°é·¢ÈÈ¡¢¹Ø½ÚÍ´ºÍÊÈËáÐÔϸ°ûÔö¶à £¬²úÉúÂÊ4%-7% £¬È¡¾öÓÚ»¼ÕßÉöÔà״̬ºÍÒ©Îï¼ÁÁ¿ £¬Í¨³£²úÉúÓÚÒ½ÖÎÆðÍ·ºó4ÖÜÄÚ £¬³£Îª°ßÇðÕî £¬ÉÙ¼ûÝ¡ÂéÕî £¬Í¨³£Ö¢×´Çá΢ £¬¼õÁ¿¡¢Í£Ò©»ò¸ø¿¹×é°·Ò©ºóÒþû¡£Ô¼2%µÄ»¼Õß»á²úÉú²»°éƤÕîµÄðþÑ÷¡£7%-10%µÄƤÕÕß°éÊÈËáÐÔϸ°ûÔö¶à»ò¿¹ºË¿¹Ì壨ANA£©ÑôÐÔ¡£Ò²Óб¨Â·¹ý¿ÉÄæÐÔµÄÒ©ÎïÓйØÐÔÀàÌìðå´¯Ñù²¡±äºÍ¹âÃô¸Ð¡£¡Ý0.5%µÄ»¼Õß²úÉúÃæ²¿³±ºì»ò²Ò°×¡£

£¨2£©ÐÄѪ¹Ü£ºÔ¼1%µÄ»¼Õß²úÉúµÍѪѹ £¬Ð͝¹ý¿ì £¬ÐØÍ´ºÍÐļ¡£ÐĽÊÍ´ £¬Ð£ËÀ¡¢À×ŵ×ÛºÏÕ÷ºÍ³äѪÐÔÐÄÁ¦Ë¥½ß¸÷²úÉúÓÚ¡Ü0.3%µÄ»¼Õß¡£

£¨3£©Î¸³¦Â·£ºÔ¼2%-4%µÄ»¼Õߣ¨¾ßÌåÈ¡¾öÓÚÉöÔà״̬ºÍ¼ÁÁ¿£©²úÉúζ¾õ×è°­»òζ¾õ³Õ¶Û¡£

£¨4£©ÑªÒºÑ§£ºÑªÐé £¬ÑªÓ×°åÏ÷¼õ £¬È«ÑªÏ¸°ûÏ÷¼õ £¬ÖÐÐÔÁ£Ï¸°ûÏ÷¼õ/Á£Ï¸°û²»×ãÖ¢¡£

£¨5£©ÃâÒßѧ£ºÔ¼0.1%»¼Õß²úÉúѪ¹ÜÐÔË®Ö×£ºÔ̺¬Ã沿¡¢Êֽš¢¿Ú´½¡¢ð¤Ä¤¡¢Éà¡¢ÉùÃÅ»òÑʺíµÄѪ¹ÜÐÔË®Ö× £¬½¨Ò黼Õßµ±¼´»ã±¨Ò½Éú¡£ÀÛ¼°ÉϺôÎü·µÄѪ¹ÜÐÔË®Ö׿ÉÒýÆðÖÂÃüÐÔµÄÆøÂ·×èÈû¡£

£¨6£©ºôÎü·£º0.5%-2%µÄ»¼Õß²úÉúÁË¿ÈËÔ¡£

£¨7£©ÉöÔࣺÉöÖ°ÄÜÇÖº¦¡¢ÉöÖ°ÄÜË¥½ß¡¢Éö²¡×ÛºÏÕ÷¡¢¶àÄò¡¢ÉÙÄòºÍÄòƵºÜÉÙ¼û£¨¡Ü0.2%£© £¬ÓëÓÃÒ©µÄ¹ØÏµ²»Ã÷È·¡£µ°°×Äò¡£

£¨8£©Ô¼0.5%-2%µÄ»¼Õß²úÉúÁËÒÔÏÂÊÂÎñ £¬µ«Óë¶ÔÕÕÊÔÑéÖÐʹÓõÄο½å¼Á»òÆäËûÒ½ÖÎÏà±È £¬²úÉúÂÊδ¼ûÉý¸ß£ºÎ¸²¿´Ì¼¤·´Ó³£»¸¹Í´£»¶ñÐÄ£»Å»Í£»¸¹Ðº£»Ê³Óû²»Õñ£»±ãÃØ£»¿ÚÇ»À£Ññ£»Í·ÔÎ £¬Í·Í´ £¬Î®ÃÒ²»Õñ£»À§¾ë£»Ê§Ãߣ»¿Ú¸É£»ºôÎüÄÑÌâ £¬ÍÑ·¢£»¸Ð´¥Òì³£¡£

2.ÉÏÊкó¾­Ñé

ÏÂÃæÒÀÕÕÉí¶ÎϵÍÂäгöÁË¿¨ÍÐÆÕÀûƬÉÏÊкó»ã±¨µÄÁÙ´²²»Á¼ÊÂÎñ¡£ÔÚÕâÖÖ»·¾³Ï £¬²»ÄÜÕýÈ·ÅжϲúÉúÂÊ»òÒò¹û¹ØÏµ£º

£¨1£©Í¨³£Çé¿ö£º·¦Á¦£»ÄÐÐÔÈé·¿·¢Óý¡£

£¨2£©ÐÄѪ¹Ü£ºÐÄÌøÖèÍ££»ÄÔѪ¹ÜÒâ±í³É¹¦Äܲ»È«£»ÐÄÂÊ¿ì¶ø²»Æë£»ÌåλÐÔµÍѪѹ£»ÔÎØÊ £¬ÓɵÍѪѹÒýÆð £¬ÓÈÆäÔÚÈ±ÄÆ»òѪÈÝÁ¿²»ÊµÊ±¡£

£¨3£©Æ¤·ô£º´óðåÐÔÌìðå´¯ £¬¶àÐÎÐÔºì°ß£¨Ô̺¬Stevens-Johnson×ÛºÏÕ÷£©°þÍÑÐÔÆ¤Ñס£

£¨4£©Î¸³¦Â·£ºÒÈÏÙÑ× £¬ÉàÑ× £¬Ïû»¯²»Á¼¡£

£¨5£©ÑªÒºÑ§£ºÑªÐé £¬Ô̺¬ÔÙÉú×è°­ÐÔѪÐéºÍÈÜѪÐÔѪÐ飻°×ϸ°ûÓëÁ£Ï¸°ûÏ÷¼õ £¬Óз¢ÈÈ¡¢º®àä¡£

£¨6£©¸Îµ¨£º»Æðã £¬¸ÎÑ× £¬Ô̺¬¸ÎÔà»·ËÀµÄº±¼û²¡Àý £¬µ¨Ö­ÓÙ»ý¡£

£¨7´úл£ºÖ¢×´ÐÔµÍÄÆÑªÖ¢¡£

£¨8£©¼¡Èâ¹Ç·£º¼¡Í´ £¬¼¡ÎÞÁ¦¡£

£¨9£©Éñ¾­/ÐÄÁ飺¹²¼Ãʧµ÷ £¬ÒâʶÍÌÍ £¬ÒÖÓô £¬ÑÏÖØ £¬ÊÈ˯¡£

£¨10£©ºôÎü·£ºÖ§Æø¹Ü¾·ÂÎ £¬ÊÈËáÐÔÁ£Ï¸°ûÔö¶àÐÔ·ÎÑ× £¬±ÇÑס£

£¨11£©ÌØÊâ¸Ðµ³£ºÊÓÁ¦ÍÌÍ¡£

£¨12£©ÃÚÄòÉúֳϵ£ºÑôðô¡£

£¨13£©ÓëʹÓÃÆäËûѪ¹ÜÑÏÖØËØ×ª»»Ã¸£¨ACE£©ÒÖÔì¼ÁʱһÑù £¬Ôø»ã±¨²úÉúÒ»ÖÖÓµÓÐÏÂÁвû·¢µÄ×ÛºÏÕ÷£º·¢ÈÈ¡¢¼¡Í´¡¢¹Ø½ÚÍ´¡¢¼äÖÊÐÔÉöÑס¢Ñª¹ÜÑס¢Æ¤Õî»òÆäËûƤ·ô²¡²û·¢¡¢ÊÈËáÐÔÁ£Ï¸°ûÔö¶àºÍѪ³Á£¨ESR£©¿ªÉý¸ß¡£

£¨14£©Ì¥¶ù/ÐÂÉú¶ù·¢²¡ÂʺÍéæÃüÂÊ£º»³Ì¥ÆÚÎÊʹÓÃACEÒÖÔì¼ÁÔøÒýÆðÌ¥¶ùºÍÐÂÉú¶ùÇÖº¦ £¬Ô̺¬µÍѪѹ¡¢ÐÂÉú¶ù­¹Ç·¢Óý²»È«¡¢ÎÞÄò¡¢¿ÉÄæÐÔ»ò²»³ÉÄæÐÔÉöÖ°ÄÜË¥½ßºÍéæÃü¡£Ò²Ôø»ã±¨¹ýÑòË®¹ýÉÙ £¬¾Ý´§Ä¦ £¬ÊÇÌ¥¶ùÉöÖ°ÄܽµÂäËùÖ£»ÕâÖÖÇé¿öϵÄÑòË®¹ýÉÙÓëÌ¥¶ùÖ«ÌåÂÎËõ¡¢Â­Ã沿»ûÐμ°·Î·¢Óý²»È«ÓйØ¡£Ò²Ôø»ã±¨¹ýÔç²ú¡¢¹¬Äڳɳ¤»ºÂýºÍ¶¯Âöµ¼¹Üδ¹Ø¡£×î½üµÄÎļþ»ã±¨ £¬µ±Ò©Îï¶³ö½öÏÞÓÚÔçÔÐÆÚ¼ä £¬Ôø²úÉú¹ýÔç²ú¶¯¡¢Âöµ¼¹ÜÖì¹Ø¼°Æä¶þÐÄÔà½á¹¹»ûÐÎ £¬ÒÔ¼°Éñ¾­ÏµÍ³»ûÐΡ£

3.³¢ÊÔÊҲ鳭

£¨1£©ÑªÇåµç½âÖÊ£º¸ß¼ØÑªÖ¢ £¬¿ÉÄÜ»á²úÉúѪ¼ØÇá¶ÈÉý¸ß £¬ÓÈÆäÊǰéÉöÖ°ÄÜÇÖº¦µÄ»¼Õß¡£

£¨2£©µÍÄÆÑªÖ¢£º³ö¸ñÊǽÓÊܵÍÄÆ´¶Ê»òÕ߹鲢ʹÓÃÀûÄò¼ÁµÄ»¼Õß¡£

£¨3£©ÄòËØµª£¨BUN£©/ѪÇ弡ôû£ºBUN»òѪÇ弡ôûŨ¶ÈÒ»¹ýÐÔÉý¸ß £¬³ö¸ñÊÇÈÝÁ¿»òÑκĽߵϼÕß £¬»ò°éÉöѪ¹ÜÐÔ¸ßѪѹµÄ»¼Õß¡£³£ÎªÁÙʱÐÔ £¬ÔÚÓÐÉö²¡»ò³Ö¾ÃÑϳÁ¸ßѪѹµÄ»¼ÕßÔÚѪѹѸ¿ìÏÂÕóºóÒ׳öÏÖ¡£³Ö¾Ã»òÏÔÖøÉý¸ßµÄѪѹѸ¿ì½µÂä»áµ¼ÖÂÉöÓ×ÇòÂ˹ýÂʽµµÍ £¬¼Ì¶øµ¼°ÜBUN»òѪÇ弡ôûˮƽÉý¸ß¡£

£¨4£©ÑªÒºÑ§£ºÓÐANAÑôÐÔ±¨Â·¡£

£¨5£©¸ÎÖ°Äܲ鳭£ºÑªÇå¸ÎÔàת°±Ã¸¡¢¼îÐÔÁ×ËáøºÍѪÇ嵨ºìËØÉý¸ß¡£

¡¾½û¼É¡¿

1.¶Ô¿¨ÍÐÌæÀû»òÈκÎÒ»ÖÖ¸¨ÁÏ £¬»òÆäËûACEÒÖÔì¼Á¹ýÃôÕß½ûÓñ¾Æ·£¨Àý£ºÔÚÆäËûÈκÎÒ»ÖÖACEÒÖÔì¼ÁÒ½ÖÎÆÚÎÊÔø²úÉúѪ¹ÜÐÔË®Ö׵ϼÕߣ©¡£

2.»³Ì¥ÖÐÍíÆÚ½ûÓñ¾Æ·¡£Ò»µ©·¢ÏÖ»³ÔÐ £¬¸Ãµ±¼´Í£Óñ¾Æ·¡£

3.ÔÚÌÇÄò²¡»òÉöÖ°ÄÜÇÖº¦£¨GFR<60mL/min/1.73©O£©µÄ»¼ÕßÖÐ £¬²»ÈÝACEÒÖÔì¼ÁÓ뺬Óа¢Àû¼ªÂصÄÒ©ÎïºÏÓá£

¡¾µ±¿àÖÔÏî¡¿

θÖÐʳƷ¿Éʹ±¾Æ·ÎüÊÕÏ÷¼õ30-40% £¬¹ÊÒËÔÚ²Íǰ1Ó×ʱ·þÒ©¡£

1.Àà¹ýÃô·´Ó³ºÍ¿ÉÄÜÓйط´Ó³

¿ÉÄÜÓÉÓÚACEÒÖÔì¼ÁÓ°ÏìÀ໨ÉúËá¼°¶àëÄ£¨Ô̺¬ÄÚÔ´ÐԵĻº¼¤ëÄ£©µÄ´úл £¬ËùÒÔ½ÓÊÜACEÒÖÔì¼Ã£¨Ô̺¬¿¨ÍÐÆÕÀû£©µÄÓÞÕß¿ÉÄÜ»á²úÉú¸÷À಻Á¼·´Ó³ £¬ÆäÖÐÔ̺¬Ò»Ð©ÑϳÁ²»Á¼·´Ó³¡£

£¨1£©Í·Ã沿Ѫ¹ÜÐÔË®Ö×£ºÔøÓнÓÊÜACEÒÖÔì¼Á£¨Ô̺¬¿¨ÍÐÆÕÀû£©Ò½ÖεϼÕß²úÉúѪ¹ÜÐÔË®Ö׵ġ£²úÉúË®Ö׵IJ¿Î»Ô̺¬Êֽš¢Ã沿 £¬¿Ú´½¡¢Õ³Ä¤¡¢Éà¡¢ÉùÃźÍÑʺí¡£ÈôÊÇѪ¹ÜÐÔË®Ö×ÀÛ¼°Éà¡¢ÉùÃźÍÑʺí £¬Ôò¿ÉÄÜ»á²úÉúÖÂÃüµÄÆøÂ·×èÈû¡£Òò¶øÓ¦Ó¦¸Ã¼´´ÍÓ봹ΣҽÖÎ £¬Ò½Öβ½ÖèÔ̺¬µ«²»¾ÖÏÞÓÚÍ£Óñ¾Æ· £¬Ñ¸¿ìƤÏÂ×¢Éä1£º1000ÉöÉÏÏÙËØ0.3-05ml¡£ÀÛ¼°Ã沿¡¢¿ÚǻճĤ¡¢¿Ú´½ºÍÊֽŵÄË®Ö×ͨ³£ÔÚÍ£Óÿ¨ÍÐÆÕÀûºó¼´¿ÉÒþû£»½öÉÙÊý²¡Àý±ØÒª½ÓÊÜҽѧҽÖΡ£

£¨2£©³¦ÄÚѪ¹ÜÐÔË®Ö×£ºº±¼ûÇé¿öÏ £¬½ÓÊÜACEÒÖÔì¼ÁÒ½ÖεϼÕß»á²úÉú³¦ÄÚѪ¹ÜÐÔË®Ö× £¬ÕâЩ»¼ÕߵIJû·¢Îª¸¹Í´£¨ÓлòÎÞ¶ñÐÄ»òŻͣ©£»ÔÚijЩÇé¿öÏ £¬¼ÈÍùÎÞÃæ²¿Ñª¹ÜÐÔË®Ö׵IJ¡Ê· £¬C-1õ¥Ã¸Ë®Æ½Õý³£ £¬Æ¾¾Ý¸¹²¿CTɨÃè»òB³¬Õï¶Ï £¬»òÊÖÊõÕï¶Ï £¬Í£ÓÃACEÒÖÔì¼ÁºóÖ¢×´Òþû¡£½ÓÊÜACEÒÖÔì¼ÁÒ½ÖεϼÕß³öÏÖ¸¹²¿ÌÛÍ´ £¬Õç±ðÕï¶ÏÖÐÓ¦Ô̺¬³¦ÄÚѪ¹ÜÐÔË®Öס£

£¨3£©ÍÑÃôÆÚͬµÄÀà¹ýÃô·´Ó³£º2Àýͬʱ½ÓÊÜÁíÒ»ÖÖACEÒÖÔì¼Á£¨ÒÀÄÇÆÕÀû£©µÄ»¼ÕßÔÚ´ÍÓëĤ³áÄ¿¶¾ÒºÍÑÃôÒ½ÖÎʱ £¬²úÉúÁËÀÛ¼°ÐÔÃüµÄÀà¹ýÃô·´Ó³¡£ÕâЩ·´Ó³ÔÚÔÝÍ£´ÍÓëACEÒÖÔì¼ÁºóÒþû £¬µ«ÔÚÎÞÒâÖ®ÖÐÔÙÒý·¢Ê±ÔٴγöÏÖ¡£Òò¶ø £¬ÔÚ½ÓÊÜACEÒÖÔì¼ÁÒ½ÖεϼÕßÖÐ £¬½øÐÐÕâЩÍÑÃô²Ù×÷Ӧά³ÖÉóÉ÷¡£

£¨4£©¸ßͨÁ¿Í¸Îö/Ö¬µ°°×Îü¸½Í¸ÎöĤ¶³öÆÚ¼äµÄÀà¹ýÃô·´Ó³£ºÔÚ½ÓÊܸßͨÁ¿Í¸ÎöĤ½øÐÐѪҺ͸ÎöÇҹ鲢ʹÓÃACEÒÖÔìµÄ»¼ÕßÖÐ £¬Ôø²úÉúÀà¹ýÃô·´Ó³¡£ÔÚѡȡÁòËáÆÏ¾ÛÌÇÎü¸½µÍÃܶÈÖ¬µ°°×µÄ͸Îö»¼ÕßÖÐ £¬Ò²Ôø»ã±¨¹ýÀà¹ýÃô·´Ó³¡£¶ÔÓÚÕâЩ»¼Õß £¬Ó¦ÊÔÂÇʹÓÃÆäËûÀàÐ͵Ä͸ÎöĤ £¬»òʹÓÃÆäËûÖÖÀàµÄÒ©Îï¡£

2.ÖÐÐÔÁ£Ï¸°ûÏ÷¼õ/Á£Ï¸°û²»×ã

ʹÓÿ¨ÍÐÆÕÀûÔøÒýÆð¹ÇËæÔöÉú²»Á¼ £¬´Ó¶øµ¼ÖÂÖÐÐÔÁ£Ï¸°û²»×㣨<1000/mm?£© £¬ÆäÖÐÔ¼Ò»°ë»¼Õß²úÉúÁËÈ«Éí»ò¿ÚǻϰȾ £¬»òÕßÁ£Ï¸°û²»×ãÖ¢µÄÆäËüÖ¢×´ÌØµã¡£

ÖÐÐÔÁ£Ï¸°ûÏ÷¼õµÄ²úÉú·çÏÕÈ¡¾öÓÚ»¼ÕßµÄÁÙ´²Çé¿ö£º

ÉöÖ°ÄÜÕý³££¨Crs£¼1.6mg/dLÇÒ²»°éÓнºÔ­Ñª¹Ü²¡£©µÄ¸ßѪѹ»¼ÕßÖÐ £¬ÖÐÐÔÁ£Ï¸°ûÏ÷¼õºÜº±¼û£¨£¼0.02%£©¡£

ÔÚÓп϶¨Ë®Æ½µÄÉöÖ°ÄÜÇÖº¦£¨ÑªÇ弡ôûÖÁÉÙ1.6mg/dl£©ÇÒ²»°éÓнºÔ­Ñª¹Ü²¡µÄ»¼ÕßÖÐ £¬ÁÙ´²³¢ÊÔÏÔʾ £¬ÖÐÐÔÁ£Ï¸°ûÏ÷¼õµÄ·çÏÕԼΪ0.2%¡£±Èµ¥´¿ÐÔ¸ßѪѹ»¼ÕßµÄÏàÓ¦²úÉúÂʸß15±¶¡£ÕâЩ»¼ÕßÖðÈÕ·þÓõĿ¨ÍÐÆÕÀû¼ÁÁ¿Ïà¶Ô½Ï¸ß £¬ÓÈÆäÓ¦ÊÔÂǵ½ÆäÉöÖ°ÄܵļõÍË¡£¶ÔÉöÖ°ÄÜË¥½ßµÄ»¼Õß £¬±ðàÑßÊ´¼Ó뿨ÍÐÆÕÀûºÏÓÃÔø²úÉúÖÐÐÔÁ£Ï¸°ûÏ÷¼õ £¬¹ÊÓ¦¼ÓÇ¿¾¯Ìè¡£

ÔÚÉöÖ°ÄÜÇÖº¦°éÓйɽºÔ­Ñª¹Ü²¡£¨ÀýÈç £¬ÏµÍ³ÐÔºì°ßÀÇ´¯ £¬Ó²Æ¤²¡£©µÄ»¼ÕßÖÐ £¬ÁÙ´²ÊÔÑéÏÔʾ £¬ÖÐÐÔÁ£Ï¸°ûÏ÷¼õµÄ²úÉúÂÊΪ3.7%¡£ÖÐÐÔÁ£Ï¸°ûÏ÷¼õÓë¼ÁÁ¿ÓÐ¹Ø £¬Í¨³£ÔÚ¿¨ÍÐÆÕÀûÒ½ÖÎÆðÍ·ºó3-12ÖܳöÀí £¬ÒÔ10-30Ìì×îÏÔÖø £¬Í¨³£À´Ëµ £¬ÖÐÐÔÁ£Ï¸°ûÔÚ¿¨ÍÐÆÕÀûÍ£ÓÃÔ¼2Öܺó¸´Ô­Õý³£¡£Ö»ÓÐÁÙ´²²¡Ç鸴ÔӵϼÕ߲Żá³öÏÖÑϳÁϰȾ¡£Ô¼13%µÄÖÐÐÔÁ£Ï¸°ûÏ÷¼õ²¡Àý²úÉúéæÃü £¬µ«ÏÕЩËùÓÐéæÃü²¡Àý¶¼²úÉúÔÚÓÐÑϳÁ¼²²¡µÄ»¼ÕßÖÐ £¬ÓнºÔ­Ñª¹Ü²¡¡¢ÉöÖ°ÄÜË¥½ß¡¢ÐÄÁ¦Ë¥½ß»ò½ÓÊÜÃâÒßÒÖÔì¼ÁÒ½ÖÎ £¬»òÒÔÉϸ´Ôӳɷֲ¢´æµÄ»¼Õß¡£

ÔÚ¶Ô¸ßѪѹ»òÐÄÁ¦Ë¥½ß»¼Õß½øÐÐÆÀ¼Ûʱ £¬¶¼Ó¦¸Ãͬʱ½øÐÐÉöÖ°ÄÜÆÀ¼Û¡£

ÈôÊÇÉöÖ°ÄÜÇÖº¦µÄ»¼Õß·þÓÿ¨ÍÐÆÕÀû £¬Ó¦¸ÃÔÚÒ½ÖÎÆðͷǰ½øÐа×ϸ°û¼ÆÊý¼°·ÖÀà¼ÆÊý²é³­ £¬×î³õ3¸öÔÂÿ2ÖÜÒ»´Î £¬¶ûºó¶¨ÆÚ²é³­ £¬ÓÐϰȾ¼£ÏóÊ±Ëæ¼´²é³­¡£

ÈôÊÇ»¼ÕßÓнºÔ­µ°°×²¡£¨ÈçÑϳÁϵͳÐÔºì°ßÀÇ´¯£© £¬»òÔÚ·þÓÃÆäËûÒÑÖª¶Ô°×ϸ°û»òÃâÒßÓ¦´ðÓÐÓ°ÏìµÄµÄÎï £¬³ö¸ñÊǵ±ÉöÖ°ÄÜÊÜËðʱ £¬´Ëʱ°×ϸ°û»òÁ£Ï¸°ûÏ÷¼õµÄ»úÓöÔö¶à £¬±ØÐëÔÚÆÀ¹À»ñÒæÎ¢·çÏÕºóÄÜÁ¦Ê¹Óÿ¨ÍÐÆÕÀû £¬ÆðÍ·ÓÃÒ©ºóÓ¦ÉóÉ÷¡£

ͨ³£Çé¿öÏ £¬ÔÚÍ£Óñ¾Æ·¼°ÆäËûÒ©Îïͨ³£³ÇÊÐʹ°×ϸ°û¼ÆÊýѸ¿ì¸´Ô­Õý³£ £¬Òò¶ø £¬ÔÚÈ·ÈÏ»¼ÕßÖÐÐÔÁ£Ï¸°ûÏ÷¼õ£¨ÖÐÐÔÁ£Ï¸°û¼ÆÊý<1000/mm?ºó £¬Ò½ÉúӦͣÓÿ¨ÍÐÌæÀû £¬²¢¶Ô»¼ÕߵIJ¡³ÌÇ×êÇËæ·Ã¡£

3.µ°°×Äò

³£²úÉúÓÚÒ½ÖÎÆðÍ·8¸öÔÂÄÚ¡£

½ÓÊÜ¿¨ÍÐÆÕÀûƬҽÖεϼÕßÖÐ £¬Ô¼0.7%¿É¼ûÄòµ°°××ÜÁ¿³¬¹ý1g/Ìì¡£ÆäÖÐ £¬Ô¼90%¼ÈÍùÓÐÉöÔಡµÄÖ¤¾Ý £¬»ò¿¨ÍÐÆÕÀûÒ½ÖμÁÁ¿Ïà¶Ô½Ï¸ß£¨³¬¹ý150mg/Ì죩 £¬»òÕâÁ½¸ö³É·Ö²¢´æ¡£Óе°°×ÄòµÄ»¼ÕßÖÐ £¬Ô¼Äª1/5³öÏÖÉö²¡×ÛºÏÖ¢ £¬ÎÞÊýÇé¿öÏ £¬ÎÞÂÛÊÇ·ñ³ÖÐø·þÓÿ¨ÍÐÆÕÀûƬ £¬´óÎÞÊý²¡Àýµ°°×ÄòÔÚ6¸öÔÂÄÚ»áÏ÷¼õ¡£ÉöÖ°ÄÜÖ¸±ê£¨ÈçÄòËØµªºÍѪÇ弡ôû£©ºÜÉÙÊÜÓ°Ïì £¬ÁƳ̲»ÊÜÓ°Ïì¡£

ÈôÊÇ»¼Õß¼ÈÍùÓÐÉöÔಡ £¬»ò¿¨ÍÐÆÕÀûÒ©µÄ¼ÁÁ¿³¬¹ý150mg/Ìì £¬Ó¦ÔÚÒ½ÖÎÆðͷǰ¹À²âÄòµ°°×£¨³õ´Î³¿ÄòÊÔÖ½·¨¼ì²â£© £¬²¢¶¨ÆÚ¼ì²âÄòµ°°× £¬½¨ÒéÄòµ°°×²é³­Ã¿ÔÂÒ»´Î¡£ÈôÊÇʹÓñ¾Æ·Ê±µ°°×ÄòÖð²½¼Ó³Á £¬Ó¦ÔÝͣʹÓñ¾Æ·»òÏ÷¼õÓÃÁ¿¡£

4.µÍѪѹ

¸ßѪѹ»¼Õߺ±¼û²úÉú¹ý¶ÈµÍѪѹ £¬µ«ÑÎ/ÈÝÁ¿ºÄ½ß»¼Õߣ¨ÀýÈçÑϸñÒûʳÏÞ¶ÈÄÆÑλò½ÓÊÜ´óÁ¿ÀûÔ­¼ÁÒ½ÖεÄÓÞÕߣ©¡¢ÐÄÁ¦Ë¥½ß»¼Õß»ò½øÐÐÉöÔà͸ÎöµÄÓÞÕß·þÓÿ¨ÍÐÆÕÀûºó¿ÉÄÜ»á²úÉúµÍѪѹ¡£¶ÌÔÝÐÔµÍѪѹ·´Ó³²»ÊǽøÒ»²½ÓÃÒ©µÄ½û¼ÉÖ¢ £¬Ò»µ©ÑªÑ¹Éý¸ßºó £¬¼´¿É³ÖÐøÓÃÒ©¡£

ÐÄÁ¦Ë¥½ßµÄ»¼ÕßѪѹͨ³£Õý³£»òÆ«µÍ £¬´ËÀ໼Õß·þÓÿ¨ÍÐÆÕÀûºó¿É³ö¹ÛÒ»¹ýÐÔµÄѪѹ½µµÍ £¬ÆäÖоùÔÈѪѹµÄ½µÂäˮƽ³¬¹ý20%µÄ»¼ÕßÔ¼Õ¼ÐÄÁ¦Ë¥½ß»¼Õß×ÜÊýµÄÒ»°ë¡£ÕâÖÖÒ»¹ýÐÔµÍѪѹ¶à¼ûÓÚÊ×¼ÁʹÓÿ¨ÍÐÆÕÀûºó £¬Í¨³£»¼Õß¿ÉÓÅÁ¼ÄÍÊÜ £¬²»»áÒýÆðÖ¢×´ £¬»ò½öÒýÆð¶ÌÔݵġ¢Çá΢µÄÍ·ÔÎ £¬µ«ÈÔÓм«ÉÙÊýµÄ»¼Õß²úÉú¹ýÐÄÂÊʧ³£»ò´«µ¼×èÖÍ¡£Ô¼ÓÐ3.6%µÄÐÄÁ¦Ë¥½ß»¼ÕßÓÉÓÚ²úÉúµÍѪѹ¶øÍ£Óÿ¨ÍÐÆÕÀû¡£

ÓÉÓÚ´ËÀ໼Õß·þÓÿ¨ÍÐÆÕÀûºóÓпÉÄܻᵼÖÂѪѹ½µµÍ £¬Òò¶øÔÚ³õ´Î½ÓÊÜ¿¨ÍÐÆÕÀûÒ½ÖÎʱ £¬Ó¦¶ÔÆä½øÐÐÇ×êǵÄҽѧ¼à²â¡£

ÒÔ6.25mg»ò12.5mg£¨ÖðÈÕ2´Î»ò3´Î£©µÄ³õʼ¼ÁÁ¿·þÓÿ¨ÍÐÆÕÀûƬʱ £¬Äܹ»½«µÍѪѹ·´Ó³½µÖÁ×îµÍ¡£ÔÚ³õʼ¼ÁÁ¿ºó £¬Ó¦ÖÁÉÙ½øÐÐ1Ó×ʱµÄҽѧ¼à²â £¬Ò½ÖÎÆðÍ·ºóµÄ×î³õ2ÖÜÄÚ £¬ÒÔ¼°¿¨ÍÐÆÕÀûµ¥ÓûòÓëÀûÄò¼ÁºÏÓõļÁÁ¿Ôö³¤Ê± £¬Ó¦Ç×êÇËæ·Ã»¼Õß¡£

²úÉúµÍѪѹ×ÔÉí²¢²»ÊÇÍ£Óÿ¨ÍÐÆÕÀûµÄÔ­Òò¡£ÐÄÁ¦Ë¥½ß»¼ÕßÔÚ³õ´Î½ÓÊÜ¿¨ÍÐÆÕÀûÒ½ÖÎʱ £¬ÆäÊæÕÅѹͨ³£³ÇÊгöÏֿ϶¨Ë®Æ½µÄ½µµÍ £¬²¢ÇÒÕâÖÖÊæÕÅѹµÄ½µµÍ¶Ô»¼ÕßÊÇÓÐÀûµÄ¡£Ò½ÖÎÔçÆÚµÄ½µÂä·ù¶È×î´ó £¬1-2ÖÜÄÚ²»±ä £¬Í¨³£ÔÚ2¸öÔÂÄÚ¸´Ô­µ½Ò½ÖÎǰˮƽ £¬²»°éÓÐÁÆÐ§µÄ½µÂä¡£

5.Ì¥¶ù/ÐÂÉú¶ù·¢²¡ÂʺÍéæÃüÂÊ

ÔÚ»³Ì¥ÆÚÓÃҩʱ £¬ACEÒÖÔì¼Á¿É·çÏÕÌ¥¶ù·¢Óý £¬ÉõÖÁÒýÆðÌ¥¶ùéæÃü¡£ÈôÊÇ·¢ÏÖ»¼ÕßÒÑ»³Ì¥ £¬Ó¦¾¡¿ìÍ£Óñ¾Æ·¡£

6.¸ÎÖ°ÄÜË¥½ß

¶ÔÓÚ¸ÎÖ°ÄÜË¥½ß £¬¾Ý±¨Â·ÓÃACEÒÖÔì¼ÁÒ½ÖÎʱ £¬Óм«ÉÙÊý²û·¢Îªµ¨Ö­ÐÔ»ÆðãºÍ¸Îϸ°ûÇÖº¦Õߺͣ¨ÓÐʱ£©ÖÂËÀ²¡Àý £¬¸ÃÖ¢×´µÄ»úÔìÉв»Ã÷ÏÔ¡£³öÏÖ»Æðã»ò¸ÎøÏÔÖøÉý¸ßµÄ»¼ÕßÓ¦¸ÃÖÕ³¡ÓÃACEÒÖÔì¼ÁÒ½ÖÎ £¬²¢½ÓÊÜÊʵ±µÄÒ½Ñ§Ëæ·Ã¡£

7.ÉöËØ-Ѫ¹ÜÑÏÖØËØ-È©¹Ìͪϵͳ£¨RAAS£©µÄË«³Á×è¶Ï

ACEÒÖÔì¼Á¡¢Ñª¹ÜÑÏÖØËØIIÊÜÐÝ×èÖͼÁ»ò°¢Àû¼ªÂصĺÏÓûáÔö³¤µÍѪѹ¡¢¸ß¼ØÑªÖ¢¼°ÉöÖ°ÄܽµÂ䣨Ô̺¬¼±ÐÔÉöÖ°ÄÜË¥½ß£©µÄ·çÏÕ¡£Òò¶ø £¬²»½¨Òéͨ¹ýºÏÓÃACEÒÖÔì¼Á¡¢Ñª¹ÜÑÏÖØËØIIÊÜÌå×èÖͼÁ»ò°¢Àû¼ª²Ö¶ÔRAAS½øÐÐË«³Á×è¶Ï¡£

8.ÉöÖ°ÄÜÇÖº¦

¸ßѪѹ£º¹é²¢ÉöÔ༲²¡ £¬ÓÈÆäÊÇÓгÁ¶ÈÉö¶¯ÂöÏÁÓ׵ϼÕß £¬ÔÚʹÓÿ¨ÍÐÆÕÀû½øÐнµÑ¹Ò½Öκó £¬»á³öÏÖÄòËØµªºÍѪÇ弡ôûµÄÉý¸ß £¬ÕâЩÉý¸ßͨ³£ÔÚÍ£Ò©ºóÄܹ»Äæ×ª¡£´Ëʱ¿ÉÄܱØÒª½µµÍ¿¨ÍÐÆÕÀûµÄ¼ÁÁ¿ºÍ/»òÍ£ÓÃÀûÄò¼Á £¬±ØÒªÊ±Í£Óñ¾Æ·¡£µ«¶Ô²¿ÃÅ»¼Õß¶øÑÔ £¬Î¬³Ö³ä×ãµÄÉöÔà¹àÁ÷ͬʱ½«ÑªÑ¹¸´Ô­µ½Õý³£Ë®Æ½ÏÕЩ²»³ÉÄÜ¡£

ÐÄÁ¦Ë¥½ß£º½ÓÊÜ¿¨ÍÐÆÕÀû³Ö¾ÃÒ½ÖεϼÕß £¬Ô¼20%µÄ»¼ÕßÄòËØµªºÍѪÇ弡ôû²»±äÉý¸ß £¬½ÏÕý³£Öµ»ò»ùÏßÖµ¸ß20%¡£Ö»Óв»¼°5%µÄ»¼Õߣ¨Í¨³£ÊǼÈÍù´æÔÚ³Á¶ÈÉöÔಡµÄ»¼Õߣ©ÓÉÓÚ¼¡ôû½øÐÐÐÔÉý¸ß¶ø±ØÒªÖÕÖ¹±¾Æ·Ò½ÖΡ£ËæºóµÄ¸ÄÉÆºÜ¿ÉÄÜÈ¡¾öÓÚ»¼ÕߵĻù´¡ÉöÔ༲²¡µÄÑϳÁˮƽ¡£

ÓÉÓÚ¿¨ÍÐÆÕÀûÖØÒªÍ¨¹ýÉöÔàÉø³ö £¬Òò¶øÔÚÉöÖ°ÄÜÇÖº¦µÄ»¼ÕßÖÐ £¬¿¨ÍÐÆÕÀûÉø³öÂʽµÂä £¬Ó¦Ñ¡È¡½ÏÓ×¼ÁÁ¿³É½ÏµÍµÄ¸øÒ©ÆµÂÊ £¬Ã¿´Îѡȡ½ÏÓ×µÄÔö·ù £¬»ºÂýµÝÔö£¨1ÖÜ»ò2ÖÜÒ»´Î£©¡£

ÉöÖ°ÄÜÇÖº¦»¼Õß £¬ÈôÐëͬʱÓÃÀûÄòÒ© £¬½¨ËµÓÃß»ÈûÃ×¶ø²»ÓÃàçàºÀà £¬ÑªÄòËØµªºÍ¼¡ôûÔö¸ßʱ £¬½«±¾Æ·¼õÁ¿»òͬʱͣÓÃÀûÄò¼Á¡£

9.¸ß¼ØÑªÖ¢

½ÓÊÜACEÒÖÔì¼Á£¨Ô̺¬¿¨ÍÐÆÕÀû£©Ò½ÖεÄһЩ»¼ÕßÖÐ £¬Ôø·¢ÏÖѪ¼ØÉý¸ß¡£½ÓÊÜACEÒÖÔì¼ÁÒ½ÖÎʱ £¬ÓвúÉú¸ß¼ØÑªÖ¢µÄ·çÏյϼÕßÔ̺¬ÉöÖ°ÄÜÇÖº¦¡¢ÌÇÄò²¡»¼Õß¡¢¹é²¢Ê¹Óñ£¼ØÀûÄò¼Á¡¢²¹¼Ø¼Á¡¢»òº¬¼ØµÄÑδúÌæÎï»òÕý·þÓÃÆäËû»áÒýÆðѪ¼ØÉý¸ßÒ©ÎïµÄ»¼Õß¡£Óë±£¼ØÀûÄò¼ÁºÏÓÃʱÓÅצ°ÑÎȲ鳭Ѫ¼Ø¡£

10.¿ÈËÔ

ËùÓÐACEÒÖÔì¼ÁµÄʹÓÃÖÐ £¬¶¼Óл¼Õß²úÉú¿ÈËÔ±¨Â· £¬ÕâÖÖ¿ÒòÔµÄÌØµãÊÇÎÞ̵¡¢³ÖÐøÐÔ £¬Í£Ò©ºó»º½â¡£¿ÒòÔµÄÕç±ðÕï¶ÏÖÐ £¬Ó¦Ô̺¬ACEÒÖÔì¼ÁÓÕ·¢µÄ¿ÈËÔ¡£

11.ÊÖÊõ/Âé×í

»¼ÕßÔÚ½ÓÊÜ´óÊÖÊõ»òѡȡ¿É²úÉúµÍѪѹµÄÒ©ÎïÖ´ÐÐÂé×íÆÚ¼ä £¬¿¨ÍÐÆÕÀû¿É×è¶Ï´ú³¥ÐÔÉöËØ¿ªÊÍÒýÆðµÄѪ¹ÜÑÏÖØËØIIÐγÉ¡£ÈôÊDzúÉúµÍѪѹ £¬²¢ÇÒÒÔΪµÍѪѹÊÇÕâÖÖ»úÔìµ¼Ö £¬ÔòÄܹ»Ñ¡È¡À©ÈݽøÐоÀÕý¡£

12.ÏÂÁÐÇé¿öÉ÷Óñ¾Æ·£º

£¨1£©¹ÇËèÒÖÔì¡£

£¨2£©ÄÔ¶¯Âö»ò¹Ú×´¶¯Âö¹©Ñª²»¼° £¬¿ÉÒòѪѹ½µµÍ¶øÈ±Ñª¼Ó¾ç¡£

£¨3£©Ñª¼Ø¹ý¸ß¡£

£¨4£©ÉöÖ°ÄÜÇÖº¦¶øÖÂѪ¼ØÔö¸ß £¬°×ϸ°û¼°Á£Ï¸°ûÏ÷¼õ £¬²¢Ê¹¿¨ÍÐÆÕÀûäóÁô £¬±ØÐëÔÚÆÀ¹À»ñÒæÎ¢·çÏÕºóÄÜÁ¦Ê¹Óá£

£¨5£©×Ô¶¯Âö°êÏÁÓ× £¬´Ëʱ¿ÉÄÜʹ¹Ú×´¶¯Âö¹à×¢Ï÷¼õ¡£

£¨6£©×ÔÉíÃâÒßÐÔ¼²²¡ÈçÑϳÁϵͳÐÔºì°ßÀÇ´¯ £¬´Ëʱ°×ϸ°û»òÁ£Ï¸°ûÏ÷¼õµÄ»úÓöÔö¶à¡£

£¨7£©ÑϸñÒûʳÏÞ¶ÈÄÆÑλò½øÐÐ͸ÎöÕß £¬´ËʱÊ×¼ÁʹÓÿ¨ÍÐÆÕÀû¿ÉÄܲúÉúºöÈ»¶øÑϳÁµÄµÍѪѹ¡£

13.ÈôÄÚ°ü×°¿ª·â»òÆÆË𠣬ÇëÎðʹÓá£

¡¾Ôи¾¼°²¸ÈéÆÚ¸¾Å®ÓÃÒ©¡¿

1.Ôи¾ÓÃÒ©£º¿¨ÍÐÆÕÀûÄÜͨ¹ýÌ¥ÅÌ £¬Ôи¾Ê¹Óÿ¨ÍÐÆÕÀû¿ÉÓ°ÏìÌ¥¶ù·¢Óý £¬ÒýÆðÌ¥¶ùºÍÐÂÉú¶ùÇÖº¦ÉõÖÁéæÃü £¬¹ÊÔи¾½ûÓá£

2.²¸ÈéÆÚ¸¾Å®ÓÃÒ©

¿¨ÍÐÆÕÀû¿ÉÅÅÈëÈéÖ­ £¬ÈéÖ­¿¨ÍÐÆÕÀûµÄŨ¶ÈԼΪĸÌåѪҺŨ¶ÈµÄ1%¡£ÓÉÓÚ²¸ÈéÆÚµÄÓ¤¶ù·þÓÿ¨ÍÐÆÕÀûºó¿ÉÄÜ»á²úÉúÑϳÁ²»Á¼·´Ó³ £¬ÔÚ×ö³öÖÕ³¡²¸Èé»òÖÕ³¡ÓÃÒ©µÄ¾ö°´Ê± £¬Ó¦½«¿¨ÍÐÆÕÀû¶ÔĸÇ׵ijÁÒªÐÔ˼¿¼ÔÚÄÚ¡£

¡¾¶ùͯÓÃÒ©¡¿

ÔÚ×Ó¹¬ÄÚ¶³öÓÚ¿¨ÍÐÆÕÀûµÄÐÂÉú¶ù£ºÈôÊDzúÉúÉÙÄò»òµÍѪѹ £¬Ó¦½«°ÑÎÈÁ¦¼¯ÖÐÔÚѪѹ֧³ÖºÍÉö¹à×¢ÉÏ¡£×÷ÎªÄæ×ªµÍѪѹºÍ/»ò°ü°ìÒѾ­Òì³£µÄÉöÖ°ÄܵIJ½Öè £¬¿ÉÄܱØÒª»»ÑªÁÆ·¨»ò͸Îö¡£Ö»¹ÜѪҺ͸ÎöÄܹ»½«³ÉÈËѪҺѭ»·ÖеĿ¨ÍÐÆÕÀû¶Ï¸ù £¬µ«ÊÇ £¬ÔÚͨ¹ýѪҺ͸Îö´ÓÐÂÉú¶ù»ò¶ùͯѪҺѭ»·Öжϸù¿¨ÍÐÆÕÀûµÄÓÐЧÐÔ·½ÃæÉÐÎÞ×ã¹»Êý¾Ý¡£¸¹Ä£Í¸Îö²»ÄÜÓÐЧµØ¶Ï¸ù¿¨ÍÐÆÕÀû£»ÉÐÎÞ»»ÑªÒ½ÖδÓÈ«ÉíѪҺѭ»·Öжϸù¿¨ÍÐÆÕÀûµÄÐÅÏ¢¡£

¿¨ÍÐÆÕÀûƬÔÚ¶ùͯ»¼ÕßÖеÄÓÐЧÐԺͰ²È«ÐÔÉÐδ³ÉÁ¢¡£ÎļþÖб¨Â·µÄ¿¨ÍÐÆÕÀûÔÚ¶ùͯÖÐʹÓõľ­ÑéÓÐÏÞ£»»ùÓÚÌå³ÁµÄ¼ÁÁ¿Í¨³£Óë³ÉÄêÈËÏ൱»òµÍÓÚºóÕß¡£

Ó¤¶ù³ö¸ñÊÇÐÂÉú¶ù¿ÉÄܶԿ¨ÍÐÆÕÀûµÄѪÁ÷¶¯Á¦Ñ§²»Á¼Ó°ÏìÔ½·¢Ãô¸Ð¡£ÔøÓл㱨¿¨ÍÐÆÕÀûƬÔÚÓ¤¶ù¿ÉÒýÆðѪѹ¹ý¶È¡¢ÓƾÃÒÔ¼°ÎÞ·¨Ô¤²âµÄÅãÐÔ×÷ÉÙÄòÓë³é´¤¡£

±¾Æ·½öÏÞÓÃÓÚÆä»¯½µÑ¹Ò½ÖÎÎÞЧµÄ¶ù¿Æ²¡ÈË¡£

¡¾ÀÏÄêÓÃÒ©¡¿

ÀÏÄêÈ˶ԽµÑ¹×÷ÓýÏÃô¸Ð £¬ÀûÓñ¾Æ·ÐëµÄ×üõ¼ÁÁ¿¡£

¡¾Ò©ÎïÏ໥×÷Óá¿

1.ÀûÄò¼Á£º½ÓÊÜÀûÄò¼ÁÒ½ÖεϼÕß £¬³ö¸ñÊǽüÆÚÆðÍ·´ÍÓëÀûÄò¼ÁÒ½ÖεϼÕß £¬ÒÔ¼°½ÓÊÜÑϸñµÄÏÞÑδ¶Ê»ò½øÐÐ͸ÎöµÄ»¼Õß £¬Å¼È»»á²úÉúѪѹµÄ¼±¾ç½µÂä £¬Í¨³£¼ûÓÚ¿¨ÍÐÆÕÀûÊ×¼ÁºóµÄµÚÒ»¸öÓ×ʱÄÚ¡£

ÓëÀûÄòҩͬʱʹÓÃʹ½µÑ¹×÷ÓüÓÇ¿ £¬µ«Ó¦Ô¤·ÀÒýÆðÑϳÁµÍѪѹ £¬¹ÊÔ­ÓÃÀûÄòÒ©ÕßÒËÍ£Ò©»ò¼õÁ¿ £¬±¾Æ·ÆðÍ·ÓÃÓ×¼ÁÁ¿ £¬Öð´ëÊ©Õû¼ÁÁ¿¡£

2.ÓÐÀ©Ñª¹Ü»îÐÔµÄÒ©ÎͬÓÿÉÄÜÖµÍѪѹ¡£Òò±ÈÔÚ±¾Æ·Ò½ÖÎÆðͷǰ £¬ÈçÓпÉÄÜ £¬Ó¦ÖÕ³¡Ê¹ÓÃÏõËá¸ÊÓÍ»òÕ߯äËûµÄÏõËáÑÎÀàµÄÒ©ÎÓÃÓÚÒ½ÖÎÐĽÊÍ´£©»òÕßÓµÓÐÀ©Ñª¹Ü»îÐÔµÄÆäËûÒ©Îï¡£ÈôÊǽÓÊܱ¾Æ·Ò½ÖÎÆÚ¼äºÏÓÃÕâЩҩÎï £¬ÔòÓ¦ÉóÉ÷´ÍÓë £¬ÇҴӽϵͼÁÁ¿ÆðÍ·¡£

3¡¢ÒýÆðÉöËØ¿ªÊ͵ÄÒ©Î¿ÉÄÜÒýÆðÉöËØ¿ªÊ͵ĽµÑ¹µÄ¿É·Å´ó¿¨ÍÐÆÕÀûµÄҩЧ¡£ÀýÈç £¬ÀûÄò¼Á£¨ÈçàçàºÀࣩ¿ÉÄܼ¤»îÉöËØ-Ѫ¹ÜÑÏÖØËØ-È©¹Ìͪϵͳ¡£

4¡¢Ó°Ïì½»¸ÐÉñ¾­»îÐÔµÄÒ©ÎÔÚ½ÓÊÜ¿¨ÍÐÆÕÀûµ¥¶ÀÒ½ÖλòºÏÓÃÀûÄò¼ÁÒ½ÖεϼÕßÖÐ £¬½»¸ÐÉñ¾­ÏµÍ³¶ÔÓÚѪѹ֧³ÖÓÈΪ³ÁÒª¡£ÓëÓ°Ïì½»¸ÐÉñ¾­»îÐÔµÄÒ©ÎÉñ¾­½Ú×èÖͼÁ»òÉöÉÏÏÙÄÜÉñ¾­×èÖͼÁ£©ÒÔ¼°¦ÂÊÜÌå×èÖͼÁºÏÓóÇÊÐÒýÆð½µÑ¹×÷ÓüÓÇ¿ £¬Ó¦ÉóÉ÷¡£

5.ÉýѪ¼ØÒ©ÎÓÉÓÚ¿¨ÍÐÆÕÀû»á½µµÍÈ©¹ÌͪÌìÉú £¬Òò±È £¬¿ÉÄܲúÉúѪ¼ØÉý¸ß¡£±£¼ØÀûÄò¼ÁÈçÂÝÄÚõ¥¡¢°±±½µûड¢°¢Ã×ÂåÀû»ò²¹¼Ø¼ÁÖ»ÄÜÓÃÓÚÃ÷È·µÄµÍ¼ØÑªÖ¢ £¬Ê¹ÓÃʱӦÉóÉ÷ £¬ÓÉÓÚͬÓÿÉÄÜ»áÒýÆðѪ¼ØÏÔÖøÉý¸ß¡£º¬¼ØµÄÑδúÌæÎïÒ²Ó¦ÉóÉ÷ʹÓá£

6¡¢ÄÚÔ´ÐÔǰÁÐÏÙËØºÏ³ÉÒÖÔì¼Á£º·ÇçÞÌ忹Ñ×Ò©NSAIDs¿ÉÄÜ»á¼õÈõACEÒÖÔì¼Á£¨Ô̺¬¿¨ÍÐÆÕÀû£©µÄ½µÑ¹×÷Óà £¬³ö¸ñÊÇÔÚµÍÉöËØÐ͸ßѪѹµÄÇé¿öÏ¡£ÆäËû·ÇçÞÌåÀ࿹Ñ×Ò©£¨ÀýÈ簢˾ƥÁÖ£©¿ÉÄÜÒ²ÓÐÕâÖÖ×÷Óá£ÀÏÄ껼Õß £¬¹é²¢Ê¹ÓÃNSAIDs£¨Ô̺¬Ñ¡ÔñÐÔ»·Ñõø2£¨COX-2£©ÒÖÔì¼Á£©ºÍACEÒÖÔì¼Á£¨Ô̺¬¿¨ÍÐÆÕÀû£© £¬¿ÉÄܻᵼÖÂÉöÖ°Äܶñ»¯£¨Ô̺¬¿ÉÄܲúÉúµÄ¼±ÐÔÉöÖ°ÄÜË¥½ß£©¡£ÕâЩӰÏìͨ³£ÊÇ¿ÉÄæÐԵġ£¶ÔÓÚ½ÓÊÜ¿¨ÍÐÆÕÀûºÍNSAIDsÒ½ÖεϼÕß £¬Ó¦¶¨ÆÚ¼à²âÉöÖ°ÄÜ¡£

7.﮼Á£ºÔÚºÏÓÃ﮼ÁºÍACEÒÖÔì¼ÁµÄ»¼ÕßÖÐ £¬Ôø»ã±¨ÑªÇåï®Ë®Æ½Éý¸ßºÍï®Öж¾Ö¢×´¡£ºÏÓÃÕâЩҩÎïʱӦÉóÉ÷ £¬²¢ÇÒ½¨Òéʱʱ¼à²âѪÇåï®Ë®Æ½¡£ÈôÊÇͬʱºÏÓÃÀûÄò¼Á £¬ï®Öж¾µÄ·ïÏÕ¿ÉÄÜ»áÔö³¤¡£

8¡¢½µÌÇÒ©ÎACEÒÖÔì¼Á£¨Ô̺¬¿¨ÍÐÆÕÀû£©¿É¼ÓÇ¿ÒȵºËؼ°¿Ú·þ½µÌÇÒ©£¨ÀýÈç»ÇëåÀࣩÔÚÌÇÄò²¡»¼ÕßÖеĽµÌÇ×÷Óá£

9.ÉöËØ-Ѫ¹ÜÑÏÖØËØ-È©¹Ìͪϵͳ£¨RAAS£©µÄË«³Á×è¶Ï

ÁÙ´²ÊÔÑéÊý¾ÝÏÔʾ £¬Í¨¹ýºÏÓÃACEÒÖÔì¼Á¡¢Ñª¹ÜÑÏÖØËØIIÊÜÌå×èÖͼÁÍþ°¢Àû¼ªÂضÔÉöËØ-Ѫ¹ÜÑÏÖØËØ-È©¹Ìͪϵͳ£¨RAAS£©½øÐÐË«³Á×è¶Ïʱ £¬ÓëֻʹÓÃÒ»ÖÖ×÷ÓÃÓÚRAASµÄÒ©ÎïÏà±È £¬²»Á¼ÊÂÎñ£¨ÀýÈçµÍѪѹ¡¢¸ß¼ØÑªÖ¢ºÍÉöÖ°ÄܽµÂ䣨Ô̺¬¼±ÐÔÉöÖ°ÄÜË¥½ß£©£©µÄ²úÉúÂÊÉý¸ß¡£´óÎÞÊý²¡È˽ÓÊÜÁ½ÖÖRAASÒÖÔì¼Á½áºÏÒ½Öαȵ¥Ò»ÁÆ·¨Ã»ÓлñµÃ¶î±íÒæ´¦¡£Í¨³£À´Ëµ £¬Ó¦Ô¤·À½áºÏʹÓÃRAASÒÖÔì¼Á¡£¶ÔÓÚ½ÓÊܱ¾Æ·¼°ÆäËûÓ°ÏìRAASµÄÒ©ÎïÒ½ÖεϼÕß £¬Ó¦Ç×êǼà²âѪѹ¡¢Éö¶¯Äܼ°µç½âÖÊ¡£

ÌÇÄò²¡Éö²¡»¼Õß²»ÈݺÏÓÃACEÒÖÔì¼ÁºÍѪ¹ÜÑÏÖØËØIIÊÜÌå×èÖͼÁ¡£

ÉöÖ°ÄÜÇÖº¦£¨ÉöÓ×ÇòÂ˹ýÂÊGFR<60ml/min£©µÄ»¼ÕßÓ¦Ô¤·ÀºÏÓð¢Àû¼ªÂغͱ¾Æ·¡£

10.Ò©Îï/³¢ÊÔÊҲ鳭Ï໥×÷ÓÃ

¿¨ÍÐÆÕÀû¿ÉÒýÆðÄò±ûͪ²é³­¼ÙÑôÐÔ¡£

11.ÓëÆäËû½µÑ¹Ò©ºÏÓà £¬½µÑ¹×÷ÓüÓÇ¿¡£

¡¾Ò©Îï¹ýÁ¿¡¿

ÓâÁ¿¿ÉÖµÍѪѹ £¬²úÉúÒ©Îï¹ýÁ¿Ê± £¬Ó¦Ê×ÏÈ˼¿¼¾ÀÕýµÍѪѹ¡£¸Ãµ±¼´Í£Ò© £¬ÔÚ¶Ô»¼Õß½øÐÐѪѹ¸´Ô­Ê± £¬Äܹ»Ñ¡Ôñͨ¹ý¾²ÂöÊä×¢ÉúÀíÑÎË®À©ÈÝÒÔ¾ÀÕý¡£

³ÉÈËѪҺѭ»·ÖеĿ¨ÍÐÆÕÀûÄܹ»Í¨¹ýѪҺ͸Îö¶Ï¸ù £¬µ«Ä¿Ç°ÎÞ×ã¹»µÄÊý¾ÝÖ¤Ã÷ѪҺ͸Îö¶ÔÐÂÉú¶ù»ò¶ùͯÌåÄÚ¿¨ÍÐÆÕÀûµÄ¶Ï¸ùͬÑùÓÐЧ¡£¸¹Ä¤Í¸ÎöÎÞ·¨ÓÐЧ¶Ï¸ùѪҺѭ»·ÖеĿ¨ÍÐÆÕÀû £¬Ä¿Ç°Éв»Ã÷ÏÔ´úÌæÑªÁÆ·¨ÊÇ·ñ¿É¶Ï¸ùÌåÄڵĿ¨ÍÐÆÕÀû¡£

¡¾Ò©Àí¶¾Àí¡¿

Ò©Àí×÷ÓÃ

¿¨ÍÐÆÕÀûΪ¾ºÕùÐÔѪ¹ÜÑÏÖØËØ×ª»»Ã¸ÒÖÔì¼Á £¬Ê¹Ñª¹ÜÑÏÖØËØI²»ÄÜת»»ÎªÑª¹ÜÑÏÖØËØII £¬´Ó¶ø½µµÍ±íÖÜѪ¹Ü×èÁ¦ £¬²¢Í¨¹ýÒÖÔìÈ©¹ÌͪÅÅй £¬Ï÷¼õË®ÄÆäóÁô£»»¹¿Éͨ¹ý×ÌÈÅ»º¼¤ëĵĽµ½âÀ©ÕűíÖÜѪ¹Ü£»Ò²¿É½µµÍ·ÎëϸѪ¹ÜШѹ¼°·ÎѪ¹Ü×èÁ¦ £¬Ôö³¤ÐÄÊä³öÁ¿¼°»î¶¯ÄÍÊܹ¦·ò¡£

¶¾Àí×êÑÐ

ͨ³£¶¾ÐÔ

ÔÚÓ×Êó¡¢´óÊó¡¢È®ºÍºï £¬±ðÍÑÀëÕ¹Á˳Á¸´¸øÒ©¶¾ÐÔÊÔÑ飨Ó×Êó£º2Äꣻ´óÊó£º2ÄꣻȮ£º47ÖÜ £¬1Äꣻºï£º1Ä꣩ £¬ÓëÒ©ÎïÓйص;ÐÔÔ̺¬¶ÔÔìѪְÄܵÄÓ°Ïì¡¢ÉöÔà¶¾ÐÔ¡¢Î¸¸¯ÀÃ/À£Ññ¡¢ÊÓÍøÄ¤Ñª¹Ü±äÒì¡£

Ó×Êó¡¢´óÊóºÍºï¾­¿Ú´ÍÓ뿨ÍÐÆÕÀû¼ÁÁ¿Îª×î´óÍÆ¼öÈËÀà¼ÁÁ¿£¨MRHD£©µÄ50±¶µ½150±¶Ê± £¬¿É¼ûѪºìµ°°×ºÍ/»òºìϸ°ûѹ»ýÊýÖµ½µÂ䡣Ȯ¾­¿Ú¸øÒ©¼ÁÁ¿ÎªMRHDµÄ8±¶µ½30±¶Ê± £¬¿É¼ûѪÐé¡¢°×ϸ°ûÏ÷¼õ¡¢ÑªÓ×°åÏ÷¼õºÍ¹ÇËèÒÖÔì¡£Ó×ÊóºÍ´óÊó½ö1ÄêºóµÄѪºìµ°°×ºÍºìϸ°ûѹ»ýÊýÖµ½µÂäÏÔÖø £¬¿ÉÄæ¡£ÔÚÈ®ÊÔÑéÖÐ £¬ËùÓмÁÁ¿Ë®Æ½£¨8µ½30±¶MRHD£©¾ù¿É¼ûÏÔÖøÑªÐé £¬Öжȵ½ÏÔÖø°×ϸ°ûÏ÷¼õ±ðÀë²úÉúÔÚMRHDµÄ15±¶ºÍ30±¶Ê± £¬ÑªÓ×°åÏ÷¼õ²úÉúÔÚMRHDµÄ30±¶Ê±¡£Í£Ò©ºó £¬ÑªÐé¿ÉÄæ¡£¹ÇËèÒÖÔìµÄ²úÉúˮƽ²»Ò»£ºÔÚ1ÄêµÄ×êÑÐÖÐ £¬¼ûÓÚéæÃüµÄÈ®»òÔÚ±ôËÀ״̬±»Õý·¨µÄÈ® £¬µ«ÔÚ47ÖܵÄ×êÑÐÖÐ £¬¼ÁÁ¿ÎªMRHDµÄ30±¶Ê± £¬¹ÇËèÒÖÔì¿ÉÄæ×ª¡£Ó×ÊóºÍ´óÊó¾­¿Ú´ÍÓ뿨ÍÐÆÕÀû¼ÁÁ¿ÎªMRHDµÄµ½200±¶Ê± £¬ºï¸øÒ©¼ÁÁ¿ÎªMRHDµÄ20µ½60±¶Ê± £¬È®¼ÁÁ¿ÎªMRHDµÄ30±¶Ê± £¬¿É¼ûÉöÓ×ÇòÅÔÆ÷ÔöÉú¡£

ÐÛÐÔ´óÊó¾­¿Ú´ÍÓ뿨ÍÐÆÕÀû¼ÁÁ¿ÎªMRHDµÄ20±¶ºÍ200 £¬È®ºÍºï±ðÀë¾­¿Ú´ÍÓ뿨ÍÐÆÕÀûMRHDµÄ30±¶ºÍMRHDµÄ65±¶Ê± £¬Î¸¸¯ÀÃ/À£ÑñµÄ²úÉúÂÊÉý¸ß £¬Íþ­¿Ú´ÍÓ뿨ÍÐÆÕÀû5-7Ìì¼ÁÁ¿Ô¼ÎªMRHDµÄ30±¶ £¬¿É¼ûθÀ£ÑñºÍ³¦Â·À£Ññ²úÉú¡£´óÊó¾­¿Ú´ÍÓ뿨ÍÐÆÕÀû2Äê £¬ÔÚËùÓмÁÁ¿Ë®Æ½£¨MRHDµÄ7±¶µ½20±¶£© £¬¿É¼û½øÐÐÐÔÊÓÍøÄ¤Ñª¹Ü¹Ü¾¶²»³ÉÄæÐÔŤת £¬³Ê¼ÁÁ¿ÓйØÐÔ¡£×îÔçÔÚ¸øÒ©µÚ88ÖܳöÏÖ £¬Ö®ºó²úÉúÂʽøÐÐÐÔÉý¸ß £¬Í£Ò©ºó²»³ÉÄæ¡£

Ö°©ÐÔ

Ó×Êó £¬´óÊó±ðÀëÖðÈÕ´ÍÓ뿨ÍÐÆÕÀû50-1350mg/kg £¬¸øÒ©2Äê £¬¾ùδ¼ûÖ°©×÷Óà £¬Æä¸ß¼ÁÁ¿ÎªÈË×î´óÍÆ¼ö¼ÁÁ¿£¨50kg £¬450mg£©µÄ150ÐÅ¡£¾ÝÌå±í±í»ýÕÛËã £¬Ó×ÊóºÍ´óÊóµÄ×î¸ß¼ÁÁ¿±ðÀëΪÈË×î´óÍÆ¼ö¼ÁÁ¿µÄ13ºÍ26±¶¡£

¡¾Ò©´ú¶¯Á¦Ñ§¡¿

¿¨ÍÐÆÕÀûƬ¿Ú·þºóÎüÊÕѸ¿ì £¬ÎüÊÕÂÊÔÚ75%ÒÔÉÏ¡£¿Ú·þºó15·ÖÖÓÆðЧ £¬Ô¼Äª1Ó×ʱ´ïѪҩ·åŨ¶È £¬³ÖÐø6-12Ó×ʱ¡£Î¸³¦ÖÐʳƷ¿Éʹ¿¨ÍÐÆÕÀûÎüÊÕÏ÷¼õ30%-40% £¬¹ÊÒËÔÚ²Í1Ó×ʱ·þÒ©¡£»ùÓÚ14CÏóÕ÷×êÑÐ £¬24Ó×ʱÄÚ95%ÒÔÉϵÄÎüÊÕÒ©Îïͨ¹ýÄò񼃿³ö £¬40%-50%ÎªÕæÏàÒ© £¬Ôü×Ò²¿ÃÅÖØÒªÎª¿¨ÍÐÆÕÀû¶þÁò»¯Îï¶þ¾ÛÌåºÍ¿¨ÍÐÆÕÀû-°ëë×°±Ëá¶þÁò»¯Îï¡£Ò©ÎïѪ½¬µ°°×½áºÏÂÊԼĪΪ25%-30%¡£ÑªÒºÖÐ×Ü·ÅÉä»îÐԵıí¹Û¶Ï¸ù°ëË¥ÆÚԼĪÓ×ÓÚ3Ó×ʱ £¬×êÑÐδÄÜÕýÈ·²â¶¨ÕæÏ࿨ÍÐÆÕÀûµÄ°ëË¥ÆÚ £¬µ«ºÜ¿ÉÄÜÓ×ÓÚ2Ó×ʱ¡£ÉöÖ°ÄÜÇÖº¦Ê±»á²úÉúÒ©ÎïäóÁô¡£½µÑ¹×÷ÓÃΪ½øÐÐÐÔ £¬Ô¼ÊýÖÜ´ï×î´óÒ½ÖÎ×÷Óá£

¿¨ÍÐÆÕÀû²»ÄÜͨ¹ýѪÄÔ½âÕÏ¡£¿¨ÍÐÆÕÀû¿Éͨ¹ýÈéÖ­ÅÅй £¬Äܹ»Í¨¹ýÌ¥ÅÌ¡£

¡¾Öü²Ø¡¿Õڹ⠣¬ÃÜ·â±£Áô¡£

¡¾°ü×°¡¿ËÜÁÏÆ¿×° £¬100Ƭ/Æ¿¡£

¡¾ÓÐЧÆÚ¡¿24¸öÔÂ

¡¾Ö´Ðг߶ȡ¿¹ú¶ÈÒ©Æ·¼à¶½ÖÎÀí¾Ö³ß¶ÈYBH07002020

¡¾ºË×¼Îĺš¿¹úÒ©×¼×ÖH14021648

¡¾ÉÏÊÐÐí¿É³ÖÓÐÈË¡¿

Ãû³Æ£ºÉ½Î÷±ØÓ®ÑÇÖÞ°²ÐÀÉúÎïÔìÒ©ÓÐÏÞ¹«Ë¾

×¢²áµØÖ·£ºÉ½Î÷Ê¡½úÖÐÊÐɽÎ÷ʾ·¶Çø½úÖпª·¢Çø»ãͨ²úÒµÔ°Çø»þ³Ç·908ºÅ

¡¾³ö²úÆóÒµ¡¿

ÆóÒµÃû³Æ£ºÉ½Î÷±ØÓ®ÑÇÖÞ°²ÐÀÉúÎïÔìÒ©ÓÐÏÞ¹«Ë¾

³ö²úµØÖ·£ºÉ½Î÷Ê¡½úÖÐÊлþ³Ç·908ºÅ£¨½úÖо­¼Ã¼¼Êõ¿ª·¢ÇøÃñÓª¿Æ¼¼Ô°£©

²¿Õþ±àÂ룺030600

µç»°ºÅÂ룺£¨0354£©2467987

´«ÕæºÅÂ룺£¨0354£©2461887

꿅᣼www.zdjt.com