jk.zdjt.com.png?v=1
e3125187748c3537d5ab96dd2087be61
×¢ÉäÓÃάÉúËØC
¡¾³É¡¡¡¡·Ý¡¿±¾Æ·ÖØÒª³É·ÝΪάÉúËØC¡£
¡¾Ö°ÄÜÖ÷ÖΡ¿·ÀÖλµÑª²¡ºÍ¸÷À༱ÂýÐÔ´«È¾ÐÔ¼²²¡¼°×Ïñ°µÈ¸¨ÖúÒ½ÖÎ £¬´ó¼ÁÁ¿¾²Âö×¢ÉäÓÃÓÚ¿Ëɽ֢ £¬ÐÄÔ´ÐÔÐÝ¿Ëʱ¼±¾È¡£±¾Æ·Òà¿ÉÓÃÓÚÂýÐÔÌúÖж¾¡¢ÌØ·¢ÐÔ¸ßÌúѪºìµ°°×Ѫ֢µÄÒ½ÖΡ£
¡¾¹æ¡¡¡¡¸ñ¡¿1.0g
¡¾ºË×¼Îĺš¿¹úÒ©×¼×ÖH20063783
²úÆ·×¢Ã÷

¡¾Ò©Æ·Ãû³Æ¡¿Í¨ÓÃÃû³Æ£º×¢ÉäÓÃάÉúËØC

        Ó¢ÎÄÃû³Æ£ºVitamin C for Injection

        ººÓïÆ´Òô£ºZhusheyong WeishengsuC

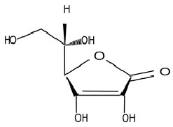
¡¾³É·Ý¡¿±¾Æ·ÖØÒª³É·ÝΪάÉúËØC £¬»¯Ì¨¸¦³ÆÎªL-¿¹»µÑªËá¡£

Æä½á¹¹Ê½Îª£º

×¢ÉäÓÃάÉúËØC

     ·Ö×Óʽ£ºC6H8O6

     ·Ö×ÓÁ¿£º176.13

     È«Êý¸¨ÁÏÃû³ÆÎª£º¸Ê¶´¼¡¢Ì¼ËáÇâÄÆ¡¢°ëë×°±Ëá¡¢ÑÇÁòËáÇâÄÆ¡¢ÒÒ¶þ°·ËÄÒÒËá¶þÄÆ¡£

¡¾ÐÔ×´¡¿±¾Æ·Îª°×É«»òÀà°×É«ÊèËÉ¿é×´Îï»ò·ÛÄ©»ò½á¾§ÐÔ·ÛÄ©£»ÎÞ³ô £¬¾ÃÖÃÉ«½¥±ä΢»Æ¡£

¡¾ÊÊÓ¦Ö¢¡¿ºÏÓÃÓÚ£º·ÀÖλµÑª²¡ºÍ¸÷À༱ÂýÐÔ´«È¾ÐÔ¼²²¡¼°×Ïñ°µÈ¸¨ÖúÒ½ÖÎ £¬´ó¼ÁÁ¿¾²Âö×¢ÉäÓÃÓÚ¿Ëɽ֢ £¬ÐÄÔ´ÐÔÐÝ¿Ëʱ¼±¾È¡£±¾Æ·Òà¿ÉÓÃÓÚÂýÐÔÌúÖж¾¡¢ÌØ·¢ÐÔ¸ßÌúѪºìµ°°×Ѫ֢µÄÒ½ÖΡ£ÏÂÁÐÇé¿ö¶ÔάÉúËØCµÄ±ØÒªÁ¿Ôö³¤£º(1)²¡È˽ÓÊÜÂýÐÔѪҺ͸Îö¡¢³¦Î¸Â·¼²²¡(³Ö¾Ã¸¹Ðº¡¢Î¸»ò»Ø³¦ÇгýÊõºó)¡¢½áºË²¡¡¢°©Ö¢¡¢À£Ññ²¡¡¢¼××´ÏÙÖ°ÄÜ¿º½ø¡¢·¢ÈÈ¡¢Ï°È¾¡¢´´ÉË¡¢ÉÕÉË¡¢ÊÖÊõµÈ¡£(2)ÒòÑϸñ½ÚÔì»òÑ¡ÔñÒûʳ £¬½ÓÊܳ¦Â·±íÓªÑøµÄ²¡ÈË £¬ÒòÓªÑø²»Á¼ £¬Ìå³ÁÖè½µ £¬ÒÔ¼°ÔÚ»³Ì¥ÆÚºÍ²¸ÈéÆÚ¡£(3)ÀûÓðͱÈÍ×Àà¡¢ËÄ»·ËØÀࡢˮÑîËáÀà¡¢»òÒÔάÉúËØC×÷ΪÃÚÄòϵͳËữҩʱ¡£

¡¾¹æ¸ñ¡¿1.0g

¡¾Ó÷¨ÓÃÁ¿¡¿¼¡ÄÚ»ò¾²Âö×¢Éä £¬³ÉÈËÿ´Î100¡«250mg £¬ÖðÈÕ1¡«3´Î£»³à×ÓÖðÈÕ100¡«300mg £¬·Ö´Î×¢Éä¡£¾ÈÖοËɽ²¡¿ÉÓôó¼ÁÁ¿ £¬Ðè×ñÒ½Öö¡£

¡¾²»Á¼·´Ó³¡¿1¡¢³Ö¾ÃÀûÓÃÖðÈÕ2¡«3g¿ÉÒýÆðÍ£Ò©ºó»µÑª²¡¡£2¡¢³Ö¾ÃÀûÓôóÁ¿Î¬ÉúËØCż¿ÉÒýÆðÄòËáÑΡ¢°ëë×°±ËáÑλò²ÝËáÑνáʯ¡£3¡¢¼±¾ç¾²Âö×¢Éä¿ÉÒýÆðÍ·ÔΡ¢ÔÎØÊ¡£

¡¾½û¼É¡¿Éв»Ã÷È·¡£

¡¾µ±¿àÖÔÏî¡¿1¡¢Î¬ÉúËØC¶ÔÏÂÁÐÇé¿öµÄ×÷ÓÃδ±»Ö¤Êµ£ºÔ¤·À»òÒ½Öΰ©Ö¢¡¢ÑÀö¸Ñס¢»¯Å§¡¢³öѪ¡¢ÑªÄò¡¢ÊÓÍøÄ¤³öѪ¡¢ÒÖÓôÖ¢¡¢ÖûÑÀ¡¢ÑªÐé¡¢ðî´¯¡¢²»ÓýÖ¢¡¢Ë¥ÀÏ¡¢¶¯ÂöÓ²»¯¡¢À£Ññ²¡¡¢½áºË¡¢Á¡¼²¡¢½ºÔ­ÐÔ¼²²¡¡¢¹ÇÕÛ¡¢Æ¤·ôÀ£Ññ¡¢¿Ý²ÝÈÈ¡¢Ò©ÎïÖж¾¡¢Ñª¹Ü˨Èû¡¢¸ÐðµÈ¡£2¡¢¶ÔÕï¶ÏµÄ×ÌÈÅ¡£´óÁ¿·þÓý«Ó°ÏìÒÔÏÂÕï¶ÏÐÔÊÔÑéµÄÁ˾֣º(1)´ó±ãÒþѪ¿ÉÖ¼ÙÑôÐÔ¡£(2)ÄÜ×ÌÈÅѪÇåÈéËáÍÑÇâøºÍѪÇå°±»ù×ªÒÆÃ¸Å¨¶ÈµÄ×Ô¶¯·ÖÎöÁ˾Ö¡£(3)ÄòÌÇ(ÁòËáÍ­·¨)¡¢ÆÏÌÑÌÇ(Ñõ»¯Ã¸·¨)¾ù¿ÉÖ¼ÙÑôÐÔ¡£(4)ÄòÖвÝËáÑΡ¢ÄòËáÑκͰëë×°±ËáµÈŨ¶ÈÔö¸ß¡£(5)ѪÇ嵨ºìËØÅ¨¶È½µÂä¡£(6)ÄòpH½µÂä¡£3¡¢ÏÂÁÐÇé¿öÓ¦É÷Óãº(1)°ëë×°±ËáÄòÖ¢¡£(2)Í´·ç¡£(3)¸ß²ÝËáÑÎÄòÖ¢¡£(4)²ÝËáÑγÁ»ýÖ¢¡£(5)ÄòËáÑÎÐÔÉö½áʯ¡£(6)ÌÇÄò²¡(ÒòάÉúËØC¿ÉÄÜ×ÌÈÅѪÌǶ¨Á¿)¡£(7)ÆÏÌÑÌÇ-6-Á×ËáÍÑÇâø²»×ãÖ¢¡£(8)³àÉ«²¡¡£(9)ÌúÁ£Ó×ϸ°ûÐÔѪÐé»òµØÖк£ÑªÐé¡£(10)Á­Ðκìϸ°ûѪÐé¡£4¡¢³Ö¾Ã´óÁ¿·þÓúöȻͣҩ £¬ÓпÉÄܳöÏÖ»µÑª²¡Ö¢×´ £¬¹ÊÒËÖð²½¼õÁ¿Í£Ò©¡£

¡¾Ôи¾¼°²¸ÈéÆÚ¸¾Å®ÓÃÒ©¡¿±¾Æ·¿Éͨ¹ýÌ¥ÅÌ £¬ÅÅйÈëÈéÖ­¡£Ôи¾´ó¼ÁÁ¿·þÓÃʱ £¬»¹¿É²úÉúÓ¤¶ù»µÑª²¡¡£

¡¾¶ùͯÓÃÒ©¡¿ÍƼö´¶ÊÂÖðÈÕÉãÈëÁ¿(RDA £¬1980)£º4¡«6Ëê³à×Ó45mg £¬7ËêÒÔÉϰ´³ÉÈ˼Æ60mg £¬Î´¾­Ö¤ÊµÓÐЧʱ £¬²»ÒËÀûÓôóÓÚ10±¶ÉÏÊö¼ÁÁ¿¡£

¡¾ÀÏÄêÓÃÒ©¡¿Éв»Ã÷È·¡£

¡¾Ò©ÎïÏ໥×÷Óá¿1¡¢´ó¼ÁÁ¿Î¬ÉúËØC¿É×ÌÈÅ¿¹ÄýÒ©µÄ¿¹Äý³ÉЧ¡£2¡¢Óë°Í±ÈÍ×»òÆËÃ×ͪµÈºÏÓà £¬¿É´ÙʹάÉúËØCµÄÉø³öÔö³¤¡£3¡¢ÏËÎ¬ËØÁ×ËáÄÆ¿É´ÙʹάÉúËØC´úлΪ²ÝËáÑΡ£4¡¢³Ö¾Ã»ò´óÁ¿ÀûÓÃάÉúËØCʱ £¬ÄÜ×ÌÈÅË«ÁòÂØ¶ÔÒÒ´¼µÄ×÷Óá£5¡¢Ë®ÑîËáÀàÄÜÔö³¤Î¬ÉúËØCµÄÉø³ö¡£6¡¢²»ÒËÓë¼îÐÔÒ©Îï(È簱ݱ¼î¡¢Ì¼ËáÇâÄÆ¡¢¹È°±ËáÄÆµÈ)¡¢ºË»ÆËØ¡¢ÈýÂÈÊå¶¡´¼¡¢Í­¡¢ÌúÀë×Ó(΢Á¿)µÄÈÜÒºÅäÎé £¬ÒÔÃâÓ°ÏìÁÆÐ§¡£7¡¢ÓëάÉúËØK3ÅäÎé £¬ÒòºóÕßÓÐÑõ»¯ÐÔ £¬¿É²úÉúÑõ»¯»¹Ô­·´Ó³ £¬Ê¹Á½ÕßÁÆÐ§¼õÈõ»òÒþû¡£8¡¢±¾Æ·Óë°±²è¼î¡¢²©À´Ã¹ËØ¡¢Í·æßßòÁÖ¡¢Í·æßÆ¥ßø¡¢½áºÏ´Æ¼¤ËØ¡¢ÓÒÐýÌÇôû¡¢¶àɳÆÕÂØ¡¢ºìÃ¹ËØ¡¢¼×ÑõÃ¹ËØ¡¢ÇàÃ¹ËØG¡¢Î¬ÉúËØK¡¢»ª·¨ÁÖ¡¢³Á̼ËáÄÆÅäÎé½û¼É¡£

¡¾Ò©Îï¹ýÁ¿¡¿ÖðÈÕ1¡«4g £¬¿ÉÒýÆð¸¹Ðº¡¢Æ¤ÕθËáÔö¶à¡¢Î¸Òº·´Á÷ £¬ÓÐʱÉпɼûÃÚÄòϵͳ½áʯ¡¢ÄòÄÚ²ÝËáÑÎÓëÄòËáÑÎÅųöÔö¶à¡¢Éî¾²ÂöѪ˨Ðγɡ¢Ñª¹ÜÄÚÈÜѪ»òÄýѪµÈ £¬ÓÐʱ¿Éµ¼Ö°×ϸ°ûÍÌÊÉÄÜÁ¦½µµÍ¡£ÖðÈÕÓÃÁ¿³¬¹ý5gʱ £¬¿Éµ¼ÖÂÈÜѪ £¬³ÁÕß¿ÉÖÂÃü¡£

¡¾Ò©Àí¶¾Àí¡¿±¾Æ·ÎªÎ¬ÉúËØÀàÒ©¡£Î¬ÉúËØC²Î¼Ó°±»ùËá´úл¡¢Éñ¾­µÝÖʵĺϳɡ¢½ºÔ­µ°°×ºÍ×é֯ϸ°û¼äÖʵĺϳÉ £¬¿É½µµÍëϸѪ¹ÜµÄͨ͸ÐÔ £¬¼Ó¿ìѪҺµÄÄý¹Ì £¬´Ì¼¤ÄýѪְÄÜ £¬ÍƽøÌúÔÚ³¦ÄÚÎüÊÕ £¬´ÙʹѪ֬½µÂä £¬Ôö³¤¶ÔϰȾµÄµÖ¿¹Á¦ £¬²Î¼Ó½â¶¾Ö°ÄÜ £¬ÇÒÓп¹×é°·µÄ×÷Óü°×èÖ¹Ö°©ÎïÖÊ(ÑÇÏõ°·)ÌìÉúµÄ×÷Óá£

¡¾Ò©´ú¶¯Á¦Ñ§¡¿µ°°×½áºÏÂʵÍ¡£ÉÙÁ¿Öü²ØÓÚѪ½¬ºÍϸ°û £¬ÒÔÏÙÌå×éÖ¯ÄÚµÄŨ¶ÈΪ×î¸ß¡£¸ÎÄÚ´úл¡£¼«ÉÙÊýÒÔÕæÏàÎï»ò´úлÎï¾­ÉöÉø³ö £¬µ±Ñª½¬Å¨¶È>14¦Ìg/mlʱ £¬ÄòÄÚÅųöÁ¿Ôö¶à¡£¿É¾­ÑªÒºÍ¸Îö¶Ï¸ù¡£

¡¾Öü²Ø¡¿Õڹ⠣¬ÃܹØ(10¡«30¡æ)±£Áô¡£

¡¾°ü×°¡¿Î÷ÁÔì¿×°¡£10Ö§/ºÐ¡£

¡¾ÓÐЧÆÚ¡¿24¸öÔ¡£

¡¾Ö´Ðг߶ȡ¿wS-10001-(HD-0070)-2002-2011

¡¾ºË×¼Îĺš¿¹úÒ©×¼×ÖH20063783

¡¾ÉÏÊÐÐí¿É³ÖÓÐÈË¡¿Ãû³Æ£ºÉ½Î÷±ØÓ®ÑÇÖÞ̩ʢÔìÒ©ÓÐÏÞ¹«Ë¾

            ×¢²áµØÖ·£ºÉ½Î÷Ê¡´óͬÊо­¼Ã¼¼Êõ¿ª·¢ÇøµÚÒ»Ò½Ò©Ô°Çø

¡¾³ö²úÆóÒµ¡¿ÆóÒµÃû³Æ£ºÉ½Î÷±ØÓ®ÑÇÖÞ̩ʢÔìÒ©ÓÐÏÞ¹«Ë¾

        ³ö²úµØÖ·£ºÉ½Î÷Ê¡´óͬÊо­¼Ã¼¼Êõ¿ª·¢ÇøµÚÒ»Ò½Ò©Ô°Çø

        ÓÊÕþ±àÂ룺037300

        µç»°ºÅÂ룺0352¡ª7290991

        ´«ÕæºÅÂ룺0352¡ª7290990

e3125187748c3537d5ab96dd2087be61
×¢ÉäÓÃάÉúËØC
¡¾³É¡¡¡¡·Ý¡¿±¾Æ·ÖØÒª³É·ÝΪάÉúËØC¡£
¡¾Ö°ÄÜÖ÷ÖΡ¿·ÀÖλµÑª²¡ºÍ¸÷À༱ÂýÐÔ´«È¾ÐÔ¼²²¡¼°×Ïñ°µÈ¸¨ÖúÒ½ÖÎ £¬´ó¼ÁÁ¿¾²Âö×¢ÉäÓÃÓÚ¿Ëɽ֢ £¬ÐÄÔ´ÐÔÐÝ¿Ëʱ¼±¾È¡£±¾Æ·Òà¿ÉÓÃÓÚÂýÐÔÌúÖж¾¡¢ÌØ·¢ÐÔ¸ßÌúѪºìµ°°×Ѫ֢µÄÒ½ÖΡ£
¡¾¹æ¡¡¡¡¸ñ¡¿1.0g
¡¾ºË×¼Îĺš¿¹úÒ©×¼×ÖH20063783
²úÆ·×¢Ã÷

¡¾Ò©Æ·Ãû³Æ¡¿Í¨ÓÃÃû³Æ£º×¢ÉäÓÃάÉúËØC

        Ó¢ÎÄÃû³Æ£ºVitamin C for Injection

        ººÓïÆ´Òô£ºZhusheyong WeishengsuC

¡¾³É·Ý¡¿±¾Æ·ÖØÒª³É·ÝΪάÉúËØC £¬»¯Ì¨¸¦³ÆÎªL-¿¹»µÑªËá¡£

Æä½á¹¹Ê½Îª£º

×¢ÉäÓÃάÉúËØC

     ·Ö×Óʽ£ºC6H8O6

     ·Ö×ÓÁ¿£º176.13

     È«Êý¸¨ÁÏÃû³ÆÎª£º¸Ê¶´¼¡¢Ì¼ËáÇâÄÆ¡¢°ëë×°±Ëá¡¢ÑÇÁòËáÇâÄÆ¡¢ÒÒ¶þ°·ËÄÒÒËá¶þÄÆ¡£

¡¾ÐÔ×´¡¿±¾Æ·Îª°×É«»òÀà°×É«ÊèËÉ¿é×´Îï»ò·ÛÄ©»ò½á¾§ÐÔ·ÛÄ©£»ÎÞ³ô £¬¾ÃÖÃÉ«½¥±ä΢»Æ¡£

¡¾ÊÊÓ¦Ö¢¡¿ºÏÓÃÓÚ£º·ÀÖλµÑª²¡ºÍ¸÷À༱ÂýÐÔ´«È¾ÐÔ¼²²¡¼°×Ïñ°µÈ¸¨ÖúÒ½ÖÎ £¬´ó¼ÁÁ¿¾²Âö×¢ÉäÓÃÓÚ¿Ëɽ֢ £¬ÐÄÔ´ÐÔÐÝ¿Ëʱ¼±¾È¡£±¾Æ·Òà¿ÉÓÃÓÚÂýÐÔÌúÖж¾¡¢ÌØ·¢ÐÔ¸ßÌúѪºìµ°°×Ѫ֢µÄÒ½ÖΡ£ÏÂÁÐÇé¿ö¶ÔάÉúËØCµÄ±ØÒªÁ¿Ôö³¤£º(1)²¡È˽ÓÊÜÂýÐÔѪҺ͸Îö¡¢³¦Î¸Â·¼²²¡(³Ö¾Ã¸¹Ðº¡¢Î¸»ò»Ø³¦ÇгýÊõºó)¡¢½áºË²¡¡¢°©Ö¢¡¢À£Ññ²¡¡¢¼××´ÏÙÖ°ÄÜ¿º½ø¡¢·¢ÈÈ¡¢Ï°È¾¡¢´´ÉË¡¢ÉÕÉË¡¢ÊÖÊõµÈ¡£(2)ÒòÑϸñ½ÚÔì»òÑ¡ÔñÒûʳ £¬½ÓÊܳ¦Â·±íÓªÑøµÄ²¡ÈË £¬ÒòÓªÑø²»Á¼ £¬Ìå³ÁÖè½µ £¬ÒÔ¼°ÔÚ»³Ì¥ÆÚºÍ²¸ÈéÆÚ¡£(3)ÀûÓðͱÈÍ×Àà¡¢ËÄ»·ËØÀࡢˮÑîËáÀà¡¢»òÒÔάÉúËØC×÷ΪÃÚÄòϵͳËữҩʱ¡£

¡¾¹æ¸ñ¡¿1.0g

¡¾Ó÷¨ÓÃÁ¿¡¿¼¡ÄÚ»ò¾²Âö×¢Éä £¬³ÉÈËÿ´Î100¡«250mg £¬ÖðÈÕ1¡«3´Î£»³à×ÓÖðÈÕ100¡«300mg £¬·Ö´Î×¢Éä¡£¾ÈÖοËɽ²¡¿ÉÓôó¼ÁÁ¿ £¬Ðè×ñÒ½Öö¡£

¡¾²»Á¼·´Ó³¡¿1¡¢³Ö¾ÃÀûÓÃÖðÈÕ2¡«3g¿ÉÒýÆðÍ£Ò©ºó»µÑª²¡¡£2¡¢³Ö¾ÃÀûÓôóÁ¿Î¬ÉúËØCż¿ÉÒýÆðÄòËáÑΡ¢°ëë×°±ËáÑλò²ÝËáÑνáʯ¡£3¡¢¼±¾ç¾²Âö×¢Éä¿ÉÒýÆðÍ·ÔΡ¢ÔÎØÊ¡£

¡¾½û¼É¡¿Éв»Ã÷È·¡£

¡¾µ±¿àÖÔÏî¡¿1¡¢Î¬ÉúËØC¶ÔÏÂÁÐÇé¿öµÄ×÷ÓÃδ±»Ö¤Êµ£ºÔ¤·À»òÒ½Öΰ©Ö¢¡¢ÑÀö¸Ñס¢»¯Å§¡¢³öѪ¡¢ÑªÄò¡¢ÊÓÍøÄ¤³öѪ¡¢ÒÖÓôÖ¢¡¢ÖûÑÀ¡¢ÑªÐé¡¢ðî´¯¡¢²»ÓýÖ¢¡¢Ë¥ÀÏ¡¢¶¯ÂöÓ²»¯¡¢À£Ññ²¡¡¢½áºË¡¢Á¡¼²¡¢½ºÔ­ÐÔ¼²²¡¡¢¹ÇÕÛ¡¢Æ¤·ôÀ£Ññ¡¢¿Ý²ÝÈÈ¡¢Ò©ÎïÖж¾¡¢Ñª¹Ü˨Èû¡¢¸ÐðµÈ¡£2¡¢¶ÔÕï¶ÏµÄ×ÌÈÅ¡£´óÁ¿·þÓý«Ó°ÏìÒÔÏÂÕï¶ÏÐÔÊÔÑéµÄÁ˾֣º(1)´ó±ãÒþѪ¿ÉÖ¼ÙÑôÐÔ¡£(2)ÄÜ×ÌÈÅѪÇåÈéËáÍÑÇâøºÍѪÇå°±»ù×ªÒÆÃ¸Å¨¶ÈµÄ×Ô¶¯·ÖÎöÁ˾Ö¡£(3)ÄòÌÇ(ÁòËáÍ­·¨)¡¢ÆÏÌÑÌÇ(Ñõ»¯Ã¸·¨)¾ù¿ÉÖ¼ÙÑôÐÔ¡£(4)ÄòÖвÝËáÑΡ¢ÄòËáÑκͰëë×°±ËáµÈŨ¶ÈÔö¸ß¡£(5)ѪÇ嵨ºìËØÅ¨¶È½µÂä¡£(6)ÄòpH½µÂä¡£3¡¢ÏÂÁÐÇé¿öÓ¦É÷Óãº(1)°ëë×°±ËáÄòÖ¢¡£(2)Í´·ç¡£(3)¸ß²ÝËáÑÎÄòÖ¢¡£(4)²ÝËáÑγÁ»ýÖ¢¡£(5)ÄòËáÑÎÐÔÉö½áʯ¡£(6)ÌÇÄò²¡(ÒòάÉúËØC¿ÉÄÜ×ÌÈÅѪÌǶ¨Á¿)¡£(7)ÆÏÌÑÌÇ-6-Á×ËáÍÑÇâø²»×ãÖ¢¡£(8)³àÉ«²¡¡£(9)ÌúÁ£Ó×ϸ°ûÐÔѪÐé»òµØÖк£ÑªÐé¡£(10)Á­Ðκìϸ°ûѪÐé¡£4¡¢³Ö¾Ã´óÁ¿·þÓúöȻͣҩ £¬ÓпÉÄܳöÏÖ»µÑª²¡Ö¢×´ £¬¹ÊÒËÖð²½¼õÁ¿Í£Ò©¡£

¡¾Ôи¾¼°²¸ÈéÆÚ¸¾Å®ÓÃÒ©¡¿±¾Æ·¿Éͨ¹ýÌ¥ÅÌ £¬ÅÅйÈëÈéÖ­¡£Ôи¾´ó¼ÁÁ¿·þÓÃʱ £¬»¹¿É²úÉúÓ¤¶ù»µÑª²¡¡£

¡¾¶ùͯÓÃÒ©¡¿ÍƼö´¶ÊÂÖðÈÕÉãÈëÁ¿(RDA £¬1980)£º4¡«6Ëê³à×Ó45mg £¬7ËêÒÔÉϰ´³ÉÈ˼Æ60mg £¬Î´¾­Ö¤ÊµÓÐЧʱ £¬²»ÒËÀûÓôóÓÚ10±¶ÉÏÊö¼ÁÁ¿¡£

¡¾ÀÏÄêÓÃÒ©¡¿Éв»Ã÷È·¡£

¡¾Ò©ÎïÏ໥×÷Óá¿1¡¢´ó¼ÁÁ¿Î¬ÉúËØC¿É×ÌÈÅ¿¹ÄýÒ©µÄ¿¹Äý³ÉЧ¡£2¡¢Óë°Í±ÈÍ×»òÆËÃ×ͪµÈºÏÓà £¬¿É´ÙʹάÉúËØCµÄÉø³öÔö³¤¡£3¡¢ÏËÎ¬ËØÁ×ËáÄÆ¿É´ÙʹάÉúËØC´úлΪ²ÝËáÑΡ£4¡¢³Ö¾Ã»ò´óÁ¿ÀûÓÃάÉúËØCʱ £¬ÄÜ×ÌÈÅË«ÁòÂØ¶ÔÒÒ´¼µÄ×÷Óá£5¡¢Ë®ÑîËáÀàÄÜÔö³¤Î¬ÉúËØCµÄÉø³ö¡£6¡¢²»ÒËÓë¼îÐÔÒ©Îï(È簱ݱ¼î¡¢Ì¼ËáÇâÄÆ¡¢¹È°±ËáÄÆµÈ)¡¢ºË»ÆËØ¡¢ÈýÂÈÊå¶¡´¼¡¢Í­¡¢ÌúÀë×Ó(΢Á¿)µÄÈÜÒºÅäÎé £¬ÒÔÃâÓ°ÏìÁÆÐ§¡£7¡¢ÓëάÉúËØK3ÅäÎé £¬ÒòºóÕßÓÐÑõ»¯ÐÔ £¬¿É²úÉúÑõ»¯»¹Ô­·´Ó³ £¬Ê¹Á½ÕßÁÆÐ§¼õÈõ»òÒþû¡£8¡¢±¾Æ·Óë°±²è¼î¡¢²©À´Ã¹ËØ¡¢Í·æßßòÁÖ¡¢Í·æßÆ¥ßø¡¢½áºÏ´Æ¼¤ËØ¡¢ÓÒÐýÌÇôû¡¢¶àɳÆÕÂØ¡¢ºìÃ¹ËØ¡¢¼×ÑõÃ¹ËØ¡¢ÇàÃ¹ËØG¡¢Î¬ÉúËØK¡¢»ª·¨ÁÖ¡¢³Á̼ËáÄÆÅäÎé½û¼É¡£

¡¾Ò©Îï¹ýÁ¿¡¿ÖðÈÕ1¡«4g £¬¿ÉÒýÆð¸¹Ðº¡¢Æ¤ÕθËáÔö¶à¡¢Î¸Òº·´Á÷ £¬ÓÐʱÉпɼûÃÚÄòϵͳ½áʯ¡¢ÄòÄÚ²ÝËáÑÎÓëÄòËáÑÎÅųöÔö¶à¡¢Éî¾²ÂöѪ˨Ðγɡ¢Ñª¹ÜÄÚÈÜѪ»òÄýѪµÈ £¬ÓÐʱ¿Éµ¼Ö°×ϸ°ûÍÌÊÉÄÜÁ¦½µµÍ¡£ÖðÈÕÓÃÁ¿³¬¹ý5gʱ £¬¿Éµ¼ÖÂÈÜѪ £¬³ÁÕß¿ÉÖÂÃü¡£

¡¾Ò©Àí¶¾Àí¡¿±¾Æ·ÎªÎ¬ÉúËØÀàÒ©¡£Î¬ÉúËØC²Î¼Ó°±»ùËá´úл¡¢Éñ¾­µÝÖʵĺϳɡ¢½ºÔ­µ°°×ºÍ×é֯ϸ°û¼äÖʵĺϳÉ £¬¿É½µµÍëϸѪ¹ÜµÄͨ͸ÐÔ £¬¼Ó¿ìѪҺµÄÄý¹Ì £¬´Ì¼¤ÄýѪְÄÜ £¬ÍƽøÌúÔÚ³¦ÄÚÎüÊÕ £¬´ÙʹѪ֬½µÂä £¬Ôö³¤¶ÔϰȾµÄµÖ¿¹Á¦ £¬²Î¼Ó½â¶¾Ö°ÄÜ £¬ÇÒÓп¹×é°·µÄ×÷Óü°×èÖ¹Ö°©ÎïÖÊ(ÑÇÏõ°·)ÌìÉúµÄ×÷Óá£

¡¾Ò©´ú¶¯Á¦Ñ§¡¿µ°°×½áºÏÂʵÍ¡£ÉÙÁ¿Öü²ØÓÚѪ½¬ºÍϸ°û £¬ÒÔÏÙÌå×éÖ¯ÄÚµÄŨ¶ÈΪ×î¸ß¡£¸ÎÄÚ´úл¡£¼«ÉÙÊýÒÔÕæÏàÎï»ò´úлÎï¾­ÉöÉø³ö £¬µ±Ñª½¬Å¨¶È>14¦Ìg/mlʱ £¬ÄòÄÚÅųöÁ¿Ôö¶à¡£¿É¾­ÑªÒºÍ¸Îö¶Ï¸ù¡£

¡¾Öü²Ø¡¿Õڹ⠣¬ÃܹØ(10¡«30¡æ)±£Áô¡£

¡¾°ü×°¡¿Î÷ÁÔì¿×°¡£10Ö§/ºÐ¡£

¡¾ÓÐЧÆÚ¡¿24¸öÔ¡£

¡¾Ö´Ðг߶ȡ¿wS-10001-(HD-0070)-2002-2011

¡¾ºË×¼Îĺš¿¹úÒ©×¼×ÖH20063783

¡¾ÉÏÊÐÐí¿É³ÖÓÐÈË¡¿Ãû³Æ£ºÉ½Î÷±ØÓ®ÑÇÖÞ̩ʢÔìÒ©ÓÐÏÞ¹«Ë¾

            ×¢²áµØÖ·£ºÉ½Î÷Ê¡´óͬÊо­¼Ã¼¼Êõ¿ª·¢ÇøµÚÒ»Ò½Ò©Ô°Çø

¡¾³ö²úÆóÒµ¡¿ÆóÒµÃû³Æ£ºÉ½Î÷±ØÓ®ÑÇÖÞ̩ʢÔìÒ©ÓÐÏÞ¹«Ë¾

        ³ö²úµØÖ·£ºÉ½Î÷Ê¡´óͬÊо­¼Ã¼¼Êõ¿ª·¢ÇøµÚÒ»Ò½Ò©Ô°Çø

        ÓÊÕþ±àÂ룺037300

        µç»°ºÅÂ룺0352¡ª7290991

        ´«ÕæºÅÂ룺0352¡ª7290990